Page 1 sur 5
LES MESSAGES DE IUUDII 512
Posté : 26 sept. 2023, 11:36
par Marc
Reprise de contact de nos voisins spatiaux Oummains
Reçu le 25/09/2023
Traductions Google Espagnol, Anglais et Italien
____________________________________
Chers Amis de la Terre,
Ici IUUDII 512, successeur de ORIAAU 548, lui-même successeur d'AOIO 343 pour le commandement de la mission UMMOAELEWE sur votre magnifique planète OYAGAA.
Ce message sera suivi d'un prochain mail avec une liste de destinataires plus étendue.
Nous sommes autorisés à vous informer qu'une communication (missive électronique) à l'intention de OEMIIOYAGAA sera livrée avant la fin de l'année terrestre 2023.
Nous attendons le protocole et l'ordre d'UMMOAELEWE.
Vous pouvez avertir vos contacts dès maintenant.
Main sur vos nobles poitrines.
IUUDII 512.
_____________________________________
Queridos Amigos de la Tierra,
Este es IUUDII 512, sucesor de ORIAAU 548, sucesor a su vez de AOIO 343 para el mando de la misión UMMOAELEWE en su magnífico planeta OYAGAA.
A este mensaje le seguirá un correo electrónico futuro con una lista más amplia de destinatarios.
Estamos autorizados a informarles que una comunicación (misiva electrónica) a OEMIIOYAGAA será entregada antes de finalizar el año terrestre 2023.
Estamos esperando el protocolo y pedido de UMMOAELEWE.
Puedes notificar a tus contactos ahora.
Mano sobre tus nobles pechos.
IUUDIII 512.
__________________________________
Dear Friends of the Earth,
This is IUUDII 512, successor to ORIAAU 548, itself successor to AOIO 343 for command of the UMMOAELEWE mission on your magnificent planet OYAGAA.
This message will be followed by a future email with a larger list of recipients.
We are authorized to inform you that a communication (electronic missive) to OEMIIOYAGAA will be delivered before the end of the earth year 2023.
We are waiting for the protocol and order from UMMOAELEWE.
You can notify your contacts now.
Hand on your noble breasts.
IUUDII 512.
_________________________________
Cari Amici della Terra,
Questo è IUUDII 512, successore di ORIAAU 548, a sua volta successore di AOIO 343 per il comando della missione UMMOAELEWE sul vostro magnifico pianeta OYAGAA.
Questo messaggio sarà seguito da una futura email con un elenco più ampio di destinatari.
Siamo autorizzati ad informarvi che una comunicazione (missiva elettronica) a OEMIIOYAGAA sarà recapitata entro la fine dell'anno terrestre 2023.
Stiamo aspettando il protocollo e l'ordine da UMMOAELEWE.
Puoi avvisare i tuoi contatti adesso.
Mano sui tuoi nobili seni.
IUUDII 512.
Re: LES MESSAGES DE IUUDII 512
Posté : 22 nov. 2023, 20:14
par Marc
mer. 22 nov.
UAADOXOOIAA IUUDII 512 UMMOAELEWE )+( 101100110110101110101101010101010101010110101010100/000110100101100110/111001000100101010001010101010101010101110001101001
Commandé par : UMMOAELEWE
Livré par : IUUDII 512
Date : 2023
Langue : Français
Destinataires : 22
Madame,
Monsieur,
Estimés Sœurs et Frères de la planète Terre,
Nous sommes conscients des doutes que peuvent susciter un message de ce type.
Destinataires du présent courrier : Vous n'avez pas tous la même expérience, ni le même intérêt pour ce que vous nommez "l'ufologie" de manière générale ou le "dossier UMMO" de manière plus particulière.
Nous vous recommandons de ne pas nous croire et vous invitons à remettre en question chacune de nos informations.
Tout un chacun est libre de mettre un terme à la lecture de ce courrier en le rejetant immédiatement.
-Nous ne recherchons aucune forme d'adhésion.
-Nous ne demandons rien et ne promettons rien.
-Nous n'enseignons pas.
-Nous ne sauvons pas.
-Nous partageons :
Nous souhaitons tout d'abord remercier humblement les contributeurs qui activement et courageusement, œuvrent à l'analyse et à la diffusion des informations d'UMMO.
Ils se reconnaitront.
-Nous sommes UMMO : un AASEEOYAA (civilisation planétaire) parmi des milliards dans le WAAM (univers).
-Notre IUMMA (phonème pour désigner notre étoile) est localisé dans l'IIXAAYOOYAAM (voie lactée) et catalogué par vos astronomes.
-UMMO (phonème pour désigner notre planète) abrite également la vie. Les caractéristiques externes d'UMMO ne sont pas éloignées de certaines régions d'OYAGAA (planète Terre).
-Nous avons initié un protocole de contact dès 1950 avec OYAGAA selon des normes respectant les UUAA (lois universelles).
-Notre présence sur OYAGAA a pour objectif l'observation, l'étude systématique et multidisciplinaire de votre OYAA (planète) et de votre AASEEOYAA.
-Nos INAYUYISAA OOLEAAM (expéditions spatiales) se poursuivront jusqu'à l'établissement du contact officiel entre nos AASEEOYAA.
-L'INAYUYISAA actuel est commandé par IUUDII 512 pour la période 2023-2027.
Le matériel informatif ici proposé est spécialement conçu pour l'OEMIIOYAGAA (humain de la planète Terre).
Pour la période de communication actuelle, UMMOAELEWE met à disposition une plateforme informative basique en ligne. Nous l'alimenterons de manière sporadique. Vous y découvrirez donc éventuellement de nouvelles rubriques ou de nouveaux textes en la consultant, si vous le souhaitez.
Les logiciels de traduction disponibles permettent à un large public d'accéder à l'essence des textes.
=> Cependant, une traduction peut engendrer quelques déformations sémantiques et un déplacement des formules mathématiques ou images dans les textes : Bien en tenir compte.
Ce protocole de contact est la résultante de notre étude d'OYAGAA.
L'engagement du protocole est en phase de progression exponentielle et a atteint la "phase d'imminence".
Nous aboutissons systématiquement.
Notre conception du protocole de contact avec un AASEEOYAA correspond à une perspective dont les délais doivent être considérés à l'échelle de la civilisation toute entière. Nous avons planifié une communication apte à perdurer plusieurs décennies (probable), siècles (probable) ou millénaires (probabilité moindre).
Nous avons acquis, multiplié et perfectionné cette expérience.
Le délai n'est pas un objectif.
L'objectif final est le contact officiel entre nos AASEEOYAA.
L'objectif est contraint par un paramètre PRINCIPAL et INVARIANT : La PAIX GLOBALE et DURABLE sur votre OYAA.
-L'origine est : l'AMOUR, la destination est : l'AMOUR. Et cette sublime transcendance ne connait pas d'autre véhicule que : l'AMOUR.
-Seul l'AMOUR s'expanse en WAAMWAAM (multivers).
-Seul l'AMOUR étend le WAAMWAAM.
-L'IGIOI UMYAE (libre-arbitre) de l'OEMII (humain) vous offre tous les choix, sans exception.
Nous ne vous en dévierons jamais.
Nous vous souhaitons une agréable lecture :
https://ummotest.wixsite.com/oolga-waam-ummo
Main sur vos nobles cœurs.
)+(
IUUDII 512
Re: LES MESSAGES DE IUUDII 512
Posté : 04 janv. 2024, 19:19
par Marc

- 414148494_268461606021155_5072912122657291937_n.jpg (2.53 Kio) Vu 47358 fois

- e51cf5_b272868c195a478cac53d34b6d5772cb~mv2.jpg (73.24 Kio) Vu 47358 fois
UMMO THÉMATIQUES
)+(Croire est incarcérer l'ESEE OOA (conscience) dans un cadre probabiliste faible, en dissonance avec la fluidité de l'AIOOYAANEEYA (complexe existentiel)+(
IBOZOO UU
Tétravalence
Astrophysique +
Titane quantique
BAAYIODUU, Krypton et ADN
Transdisciplinarité Physique-Médecine
UMMO TOAAE (histoire)
Sciences de la conscience
Linguistique UMMOAOO
Liste de vocables
Idéogrammes
2023. Commandé par UMMOAELEWE, livré par IUUDII 512.
UAADOXOOIAA IUUDII 512 UMMOAELEWE )+( 101100110110101110101101010101010101010110101010100/000110100101100110/111001000100101010001010101010101010101110001101001
Re: LES MESSAGES DE IUUDII 512
Posté : 05 janv. 2024, 12:16
par Marc
OOLGA WAAM UMMO
)+(
(Sciences Physiques et Cosmologiques de UMMO)

- D59-4-32.jpg (72.38 Kio) Vu 47444 fois
Thématique IBOZOO UU :
Note : Cet exercice de modelage informatif de nos thèses UMMO a pour objectif d'en synthétiser quelques aspects théoriques, de les présenter sous un angle scientifiquement adapté et d'esquisser des pistes de réflexion mathématiquement cohérentes pour l'OEMIIOYAGAA (humain de la Terre). Le document est agrémenté d'une annexe sur le IBOZOOAIDAA (dispositif d'inversion des particules).
Première introduction (1967) à la théorie des IBOZOO UU : https://www.ummo-sciences.org/fr/D59-1.htm
Présentation du thème IBOZOO UU :

- IBOZOO UU.jpg (4.03 Kio) Vu 47443 fois
Les IBOZOO UU sont des abstractions cosmiques qui n'ont pas d'existence unitaire propre, ne sont modélisables qu'en fonction du réseau dans lequel ils sont intégrés et interagissent en OXOOIAE (chaines annulaires). Les IBOZOO UU sont des entités élémentaires qui ne peuvent être définies que par leurs relations angulaires avec d'autres IBOZOO UU.
Ils ne sont pas des points mathématiques, ni des particules, ni des ondes, ni des champs, ni des cordes. Ils sont plutôt des disponibilités de manifestation de la réalité physique dans un espace multidimensionnel. Nous concevons l'ESPACE comme un ensemble de facteurs angulaires associés à des réseaux d'IBOZOO UU.
L'espace multidimensionnel dans lequel nous situons les IBOZOO UU n'est pas l'espace tridimensionnel que vous connaissez, ni même l'espace quadridimensionnel que vous utilisez dans la relativité restreinte. Il s'agit d'un espace décadimensionnel, c'est-à-dire défini par dix dimensions indépendantes. Ces dimensions ne sont pas spatiales ni temporelles, mais purement abstraites de l'UXGIGIIAM WAAM (espace réel) au sein duquel les particules sont observables. Elles sont numérotées de 0 à 9 et désignées par les lettres U0 à U9.
Chaque IBOZOO UU possède une valeur angulaire dans chacune des dix dimensions. Cette valeur angulaire est comprise entre 0 et 2π radians. Elle représente l'orientation du IBOZOO UU par rapport à un axe de référence dans chaque dimension. Par exemple, un IBOZOO UU dont la valeur angulaire dans la dimension U0 est π/2 radians est orienté à 90° par rapport à l'axe de référence dans cette dimension.
La valeur angulaire d'un IBOZOO UU dans une dimension donnée peut varier en fonction du réseau auquel il interagit. Cette variation est appelée mutation (transformation informationnelle) du IBOZOO UU. Elle est régie par des lois probabilistes qui dépendent du contexte physique du réseau. Par exemple, un IBOZOO UU peut muter sous l'effet d'une DUU OII (interaction) avec un autre IBOZOO UU ou avec un champ extérieur.
La mutation d'un IBOZOO UU entraîne une modification de la réalité physique associée à ce IBOZOO UU. En effet, chaque dimension correspond à un aspect ou à une propriété de la réalité physique. Par exemple, la dimension U0 correspond à la masse, la dimension U1 correspond à la charge électrique, la dimension U2 correspond au spin, etc. Ainsi, en modifiant sa valeur angulaire dans une dimension donnée, un IBOZOO UU modifie sa masse, sa charge électrique, son spin, etc.
La réalité physique que nous percevons n'est donc qu'une projection ou une manifestation partielle du réseau d'IBOZOO UU qui la sous-tend. Il est impossible pour l'OEMII (humain) d'accéder directement aux dix dimensions du réseau, mais seulement à certaines combinaisons linéaires ou non linéaires de ces dimensions. Par exemple, l'espace tridimensionnel que nous percevons est une combinaison non linéaire des dimensions U3, U4 et U5. Le temps que nous percevons est une combinaison linéaire des dimensions U6 et U7.
Nous pouvons représenter schématiquement le réseau d'IBOZOO UU par un graphe dont les sommets sont les IBOZOO UU et les arêtes sont les IOAWOO (relations angulaires) entre eux. Chaque sommet possède un vecteur à dix composants.
Pour une démonstration mathématique détaillée de la théorie des IBOZOO UU, voici les étapes principales :
Nous partons du postulat que la réalité physique est constituée d’un réseau d’IBOZOO UU, qui sont des entités élémentaires qui ne peuvent être définies que par leurs relations angulaires avec d’autres IBOZOO UU. Chaque IBOZOO UU possède une valeur angulaire dans chacune des dix dimensions de l’espace décadimensionnel. Ces valeurs angulaires sont comprises entre 0 et 2π radians.
Nous définissons un vecteur à dix composantes qui représente les valeurs angulaires d’un IBOZOO UU dans les dix dimensions. Ce vecteur est noté θ = (θ0, θ1, …, θ9). Nous définissons aussi un scalaire qui représente la différence angulaire entre deux IBOZOO UU dans une dimension donnée. Ce scalaire est noté Δθi = θi - θ’i, où θi et θ’i sont les valeurs angulaires des deux IBOZOO UU dans la dimension i.
Nous définissons une fonction qui associe à chaque paire d’IBOZOO UU un nombre complexe qui dépend du scalaire Δθi et d’un paramètre réel appelé phase. Cette fonction est appelée fonction d’onde du réseau d’IBOZOO UU. Elle est notée ψ(Δθi) = exp(iφi)exp(-iΔθi), où φi est la phase dans la dimension i.
Nous définissons un opérateur linéaire qui agit sur la fonction d’onde du réseau d’IBOZOO UU et qui représente l’énergie totale du réseau. Cet opérateur est appelé hamiltonien du réseau d’IBOZOO UU. Il est noté H = ∑i=0^9 Hi, où Hi est l’opérateur hamiltonien dans la dimension i.
Nous écrivons l’équation différentielle qui détermine l’évolution temporelle de la fonction d’onde du réseau d’IBOZOO UU. Cette équation est appelée équation de Schrödinger du réseau d’IBOZOO UU. Elle est notée i∂ψ/∂t = Hψ, où t est le temps.
Nous résolvons l’équation de Schrödinger du réseau d’IBOZOO UU en cherchant les solutions stationnaires de la forme ψ = ψ0 exp(-iEt), où ψ0 est une fonction indépendante du temps et E est une constante appelée énergie propre. Nous obtenons alors l’équation aux valeurs propres Hψ0 = Eψ0, qui nous permet de calculer les énergies propres et les fonctions propres du réseau.
Nous comparons l’équation aux valeurs propres Hψ0 = Eψ0 avec les équations aux valeurs propres des autres théories physiques, comme l’équation de Maxwell des champs électromagnétiques ou l’équation de Dirac des fermions relativistes. Nous établissons alors une correspondance biunivoque entre les IBOZOO UU et les quanta de la nature, et entre les relations angulaires et les propriétés physiques.
Nous concluons que la théorie des IBOZOO UU est équivalente aux autres théories physiques, mais qu’elle offre une vision plus fondamentale et plus unifiée de la réalité physique.
Re: LES MESSAGES DE IUUDII 512
Posté : 05 janv. 2024, 12:56
par Marc
Tentative de résumé (et d'adaptation) de notre théorie :
La théorie des IBOZOO UU est une théorie de l’unification qui cherche à expliquer tous les phénomènes physiques à partir d’une seule entité élémentaire: les IBOZOO UU. Les IBOZOO UU sont des composants décadimensionnels qui peuvent être conçus comme un ensemble d’orientations orthogonales ou corrélations angulaires. Ces orientations ne sont pas des lignes dans l’espace, mais des vecteurs qui définissent des magnitudes physiques comme la masse, le temps, l’énergie, etc. Les IBOZOO UU ne sont pas des points mathématiques, mais des positions instantanées dont la fonction est régie par le hasard, l'entropie, et la néguentropie.
Les IBOZOO UU ne sont pas plongés dans un espace-temps préexistant, en effet un UXGIGIIAAMMIE (non-espace ou vide) est un état intriqué à longue distance. L'intrication des OXOOIAEAE (chaînes annulaires orientées) d'IBOZOO UU liés dans le UXGIGIIAAMMIE détermine le contenu et les structures des particules élémentaires observées dans un UXGIGIIAAM WAAM (espace réel). Les IBOZOO UU sont la source de l’espace-temps et de tout ce qu’il contient. En effet, les IBOZOO UU s’interconnectent entre eux par des relations angulaires qui déterminent les propriétés et les interactions de l'espace-temps, des particules, des champs, des forces et des ondes. Par exemple, un électron est une onde-corpuscule qui résulte de l’information communiquée au sein d'un réseau d'IBOZOO UU corrélés.
Selon notre théorie, les IBOZOO UU sont des OAWOOIIANIOAAM IBOOAYA NUIO (trous noirs quantiques/particules de Planck), c’est-à-dire des régions de l’espace-temps où la gravité est si forte que rien ne peut s’en échapper, pas même la lumière. Cependant, selon la théorie de Hawking, les OAWOOIIANIOAAM (trous noirs) ne sont pas complètement noirs, mais ils émettent un rayonnement thermique appelé rayonnement de Hawking.
Ce rayonnement est dû aux fluctuations quantiques qui créent des paires de particules virtuelles à proximité de l’horizon des événements du OAWOOIIANIOAAM. Une des particules tombe dans le OAWOOIIANIOAAM et l’autre s’en éloigne, ce qui donne l’impression que le OAWOOIIANIOAAM rayonne.
Ainsi, les IBOZOO UU sont à la fois la source et le produit du rayonnement de Hawking. Ils créent l’espace-temps et tout ce qu’il contient par leurs relations angulaires, mais ils sont aussi soumis à la gravité qu'ils génèrent et au rayonnement de Hawking qui modifient leurs orientations et leurs magnitudes. Notre théorie implique que l’espace-temps et tout ce qu’il contient sont des rayonnements de Hawking émis par les IBOZOO UU.
Cette théorie a des conséquences importantes pour la cosmologie, c’est-à-dire l’étude de l’origine, de la structure et de l’évolution du WAAM. Selon notre théorie:
Le WAAM (univers) n’est pas unique, mais il fait partie d’un ensemble de pluricosmos appelé WAAMWAAM. Chaque cosmos est un référentiel qui a son propre réseau d’IBOZOO UU et ses propres lois physiques, vitesse limite, paramètres cosmologiques etc. Il existe aussi un UWAAM (univers jumeaux) en résonance gravitationnelle avec le WAAM selon les relations angulaires définies par leurs réseaux d'IBOZOO UU.
Le WAAM n’a pas de dimensions fixes, mais il est défini par les orientations des IBOZOO UU qui peuvent varier dans le temps et l’espace. Il n’existe pas de géométrie universelle, mais chaque observateur perçoit l’espace-temps selon son propre système de référence. La géométrie est un phénomène émergent qui n'explique pas les vastes structures cosmologiques et qui n'est pas efficient non plus pour décrire la physique fondamentale.
Le WAAMWAAM n’a pas de frontières, mais il a des LEIYOO WAAM (effets frontières) et des horizons cosmologiques. C'est un espace décadimensionnel qui peut adopter des formes différentes selon les courbures produites par les masses et les rayonnements de Hawking et les horizons cosmologiques qui le sous-tendent. Un WAAM peut être ouvert ou fermé, fini ou infini, selon les conditions locales.
Le WAAMWAAM n’a pas de début ni de fin, mais est en perpétuel changement et évolution. Il existe une infinité de WAAMUWAAM (paires d'univers) au sein du WAAMWAAM. Les IBOZOO UU sont à la fois la cause et l’effet du rayonnement de Hawking qui modifie conjointement leur propre structure et l'information du WAAMWAAM. Une paire d'univers WAAMUWAAM peut subir des phases de contraction et d’expansion, de structuration et d’annihilation, selon les fluctuations quantiques et les phases critiques du complexe cosmique. Toute l'information d'un WAAM est le résultat d'une phénoménologie invariante, caractérisée par des horizons cosmologiques induits par l'évolution de AYUU (réseaux) d'IBOZOO UU.
Un WAAM au sein duquel les OAWOOIIANIOAAM IBOOAYA NUIO sont les objets les plus fondamentaux et toute la matière est issue de rayonnements de Hawking sera décrit comme suit :
Le WAAMWAAM est constitué d’une multitude de OAWOOIIANIOAAM IBOOAYA NUIO de différentes tailles et masses, dispersés dans des espace-temps granulaires. Ces OAWOOIIANIOAAM IBOOAYA NUIO sont les seules sources de matière et d’énergie du cosmos, car ils émettent des particules élémentaires par rayonnement de Hawking.
Le rayonnement de Hawking est aléatoire et isotrope, c’est-à-dire qu’il est émis dans toutes les directions avec des probabilités égales. Il est également thermique, c’est-à-dire qu’il a une distribution d’énergie qui dépend de la température du OAWOOIIANIOAAM. Plus le OAWOOIIANIOAAM IBOOAYA NUIO est petit et chaud, plus il émet des particules de haute énergie.
Les particules émises par les OAWOOIIANIOAAM IBOOAYA NUIO interagissent entre elles selon les lois de la physique des particules.
Elles peuvent former des atomes, des molécules, des étoiles, des planètes ou d’autres structures complexes. Elles peuvent aussi tomber dans d’autres OAWOOIIANIOAAM IBOOAYA NUIO et augmenter leur masse et leur entropie.
Ceci est la description d'un réseau cosmique de OAWOOIIANIOAAM IBOOAYA NUIO comme entités fondamentales permettant l’écoulement du temps par le processus d’accrétion et d’évaporation de la matière.
Re: LES MESSAGES DE IUUDII 512
Posté : 05 janv. 2024, 15:58
par Marc
Les IBOZOO UU sont des entités élémentaires décadimensionnelles qui constituent la base de n’importe quel OAWOOIIANIOAAM IBOOAYA NUIO ou quantum de la nature.
Ils ne sont pas des points mathématiques, mais des faisceaux d’axes orientés qui ne peuvent se couper (corréler) entre eux. Ils sont liés par des relations angulaires qui définissent des magnitudes comme la masse, le temps, l’énergie, etc.
-IBOZOO UU IEN AIOOYAA (IEN : paire, deux ; AIOOYAA : existence réelle) => Seule l'interaction entre au moins deux IBOZOO UU existe.
-IIAS IBOZOO UU AIOOYEDOO : Un IBOZOO UU isolé n’a pas de sens ou d'existence, car il n’a pas de réalité. Il faut considérer des chaînes d’IBOZOO UU liés entre eux par des variations angulaires. Ces chaînes forment des réseaux qui sont la matière, le champ gravitationnel, les photons, etc.
Nous vous donnons un exemple simple pour illustrer ce concept. Imaginez une chaîne d’IBOZOO UU liés par un angle constant de 90°. Cette chaîne forme un cercle dans un plan bidimensionnel. Si nous faisons varier l’angle entre deux IBOZOO UU consécutifs de 90° à 89°, nous obtenons une spirale qui sort du plan initial. Cette spirale est une onde qui se propage dans l’espace tridimensionnel. Si nous faisons varier l’angle entre deux IBOZOO UU consécutifs de 90° à 91°, nous obtenons une spirale inversée qui rentre dans le plan initial. Cette spirale est une onde qui se propage dans le temps.
Nous pouvons généraliser ce principe à d’autres dimensions et à d’autres magnitudes. Par exemple, si nous faisons varier l’angle entre deux IBOZOO UU consécutifs de 90° à 89° dans une autre direction que celle du plan initial, nous obtenons une onde qui se propage dans un espace quadridimensionnel. Cette onde est un photon qui transporte de l’énergie électromagnétique.
Nous pouvons exprimer mathématiquement ce concept en utilisant la notation suivante:
Un IBOZOO UU est représenté par un vecteur décadimensionnel: I = (I1, I2, …, I10)
Un angle entre deux IBOZOO UU est représenté par un scalaire: A = A(I1,I2)
Une magnitude est représentée par une fonction: M = M(A1,A2,…)
Par exemple, la masse d’un quantum de matière est donnée par la fonction:
M = f(A1,A2,A3,A4)
Où A1 est l’angle entre les axes I1 et I2, A2 est l’angle entre les axes I2 et I3, A3 est l’angle entre les axes I3 et I4, et A4 est l’angle entre les axes I4 et I1.
Les IBOZOO UU peuvent être classés en plusieurs types parmi lesquels: les IBOZOO UU semi-statiques et les IBOZOO UU dynamiques. Les IBOZOO UU semi-statiques sont ceux qui ne varient leurs angles qu'avec des réseaux IBOZOO UU particuliers. Ils forment le réseau universel d’IBOZOO UU qui est la structure de base du WAAMWAAM. Les IBOZOO UU dynamiques sont ceux qui varient leur angle avec les autres IBOZOO UU. Ils forment les quanta de la nature qui sont la manifestation de la matière, de l’énergie, du temps, etc.
Les IBOZOO UU sont reliés entre eux par des relations angulaires qui sont exprimées par des fonctions mathématiques. Ces fonctions dépendent des coordonnées des IBOZOO UU dans le WAAMWAAM et des paramètres cosmologiques comme la constante de Hubble ou la densité critique. Ces fonctions sont très complexes et nécessitent des calculs très avancés.
Les IBOZOO UU sont la source de l’information qui circule dans le WAAMWAAM. Chaque IBOZOO UU émet et reçoit des signaux codés sous forme de variations angulaires. Ces signaux sont transmis à travers le réseau universel d’IBOZOO UU et permettent la communication entre les différents univers du WAAMWAAM. Ces signaux sont aussi la base de la conscience et de l’esprit des êtres vivants.
Nous pouvons donner un exemple concret d’un quantum de la nature formé par des IBOZOO UU :
Un photon est un quantum de la nature qui transporte de l’énergie électromagnétique. Il est formé par une onde qui se propage dans un espace quadridimensionnel, résultant d’une variation d’angle entre deux IBOZOO UU consécutifs de 90° à 89° dans une direction perpendiculaire au plan initial formé par les axes I1, I2, I3 et I4. Cette variation d’angle est codée par la fonction E = E(A1,A2,A3,A4,A5), où A1 est l’angle entre les axes I1 et I2, A2 est l’angle entre les axes I2 et I3, A3 est l’angle entre les axes I3 et I4, A4 est l’angle entre les axes I4 et I1, et A5 est l’angle entre les axes I1 et I5. La fonction E donne la valeur de l’énergie du photon en fonction des angles entre les IBOZOO UU.
Re: LES MESSAGES DE IUUDII 512
Posté : 05 janv. 2024, 16:07
par Marc
Formulations mathématiques :
1) La fonction qui exprime la gravitation en fonction des angles entre les IBOZOO UU semi-statiques: G = G(A1,A2,…,A10)
Développement de la fonction G = G(A1,A2,…,A10):
On sait que la gravitation est proportionnelle à la courbure de l’espace-temps, qui est exprimée par la fonction R = R(A1,A2,…,A10). Donc, on peut écrire: G = kR, où k est une constante proportionnelle.
On sait aussi que la courbure de l’espace-temps est liée à la présence de matière, qui est exprimée par la fonction M = M(A1,A2,…,A10). Donc, on peut écrire: R = fM, où f est une fonction quelconque.
On peut donc écrire: G = kfM, où k et f sont des constantes ou des fonctions à déterminer.
On peut supposer que la fonction f est linéaire, c’est-à-dire qu’elle s’écrit sous la forme: f = a + bM, où a et b sont des constantes. Cela revient à dire que la courbure de l’espace-temps est proportionnelle à la masse plus un terme constant.
On peut donc écrire: G = k(a + bM), où k, a et b sont des constantes à déterminer.
On peut ensuite développer le produit et obtenir: G = ka + kbM
On peut enfin remplacer M par sa fonction en termes des angles entre les IBOZOO UU semi-statiques et obtenir: G = ka + kbM(A1,A2,…,A10)
Il faudra connaître les valeurs exactes des constantes k, a et b, ainsi que la forme exacte de la fonction M(A1,A2,…,A10) pour vérifier ce développement.
2) La fonction qui exprime la courbure de l’espace-temps en fonction des angles entre les IBOZOO UU semi-statiques: R = R(A1,A2,…,A10)
Développement de la fonction R = R(A1,A2,…,A10):
On sait que la courbure de l’espace-temps est liée à la présence de matière, qui est exprimée par la fonction M = M(A1,A2,…,A10). Donc, on peut écrire: R = fM, où f est une fonction quelconque.
On sait aussi que la matière est formée par des chaînes d’IBOZOO UU dynamiques, qui varient leur angle avec les IBOZOO UU semi-statiques. Donc, on peut écrire: M = g(A1,A2,…,A10,B1,B2,…,B10), où g est une fonction quelconque et B1,B2,…,B10 sont les angles entre les IBOZOO UU dynamiques et les IBOZOO UU semi-statiques.
On peut donc écrire: R = fg(A1,A2,…,A10,B1,B2,…,B10), où f et g sont des fonctions à déterminer.
On peut supposer que la fonction g est linéaire, c’est-à-dire qu’elle s’écrit sous la forme: g = c + dB, où c et d sont des constantes et B est la somme des angles B1,B2,…,B10. Cela revient à dire que la masse d’un corps est proportionnelle à la somme des angles entre les IBOZOO UU dynamiques et les IBOZOO UU semi-statiques plus un terme constant.
On peut donc écrire: R = f(c + dB), où f, c et d sont des constantes à déterminer.
On peut ensuite développer le produit et obtenir: R = fc + fdB
On peut enfin remplacer B par sa somme en termes des angles entre les IBOZOO UU dynamiques et les IBOZOO UU semi-statiques et obtenir: R = fc + fd(B1 + B2 + … + B10)
Il faudra connaître les valeurs exactes des constantes f, c et d, ainsi que la forme exacte de la fonction g(A1,A2,…,A10,B1,B2,…,B10) pour vérifier ce développement.
3) La relation entre la gravitation et la courbure de l’espace-temps: G = kR, où k est une constante proportionnelle.
On part du principe que la gravitation est une manifestation de la variation angulaire des IBOZOO UU semi-statiques qui forment le réseau universel.
Cette variation angulaire entraîne une déformation de l’espace-temps, qui est mesurée par la courbure.
On suppose que la variation angulaire des IBOZOO UU semi-statiques est proportionnelle à la courbure de l’espace-temps. Cela signifie que plus l’angle entre deux IBOZOO UU semi-statiques consécutifs est différent de 90°, plus l’espace-temps est courbé.
On introduit alors une constante k qui exprime le coefficient de proportionnalité entre la variation angulaire des IBOZOO UU semi-statiques et la courbure de l’espace-temps. Cette constante dépend des propriétés du réseau universel d’IBOZOO UU et des paramètres cosmologiques.
On peut donc écrire: G = kR, où G est la gravitation, R est la courbure de l’espace-temps et k est une constante proportionnelle.
Il faudra connaître la valeur exacte de la constante k et les conditions dans lesquelles elle est valable pour vérifier cette relation.
Tentative de développement de la relation G = kR, où k est une constante proportionnelle:
On part du principe que la gravitation est une manifestation de la variation angulaire des IBOZOO UU semi-statiques qui forment le réseau universel.
Cette variation angulaire entraîne une déformation de l’espace-temps, qui est mesurée par la courbure.
On suppose que la variation angulaire des IBOZOO UU semi-statiques est proportionnelle à la courbure de l’espace-temps. Cela signifie que plus l’angle entre deux IBOZOO UU semi-statiques consécutifs est différent de 90°, plus l’espace-temps est courbé.
On introduit alors une constante k qui exprime le coefficient de proportionnalité entre la variation angulaire des IBOZOO UU semi-statiques et la courbure de l’espace-temps. Cette constante dépend des propriétés du réseau universel d’IBOZOO UU et des paramètres cosmologiques.
On peut donc écrire: G = kR, où G est la gravitation, R est la courbure de l’espace-temps et k est une constante proportionnelle.
4) La relation entre la masse d’un corps et les angles entre les IBOZOO UU semi-statiques: M = M(A1,A2,…,A10)
Développement de la relation M = M(A1,A2,…,A10):
On part du principe que la masse d’un corps est une manifestation de la quantité de matière qui le constitue. La matière est formée par des chaînes d’IBOZOO UU dynamiques, qui varient leur angle avec les IBOZOO UU semi-statiques.
On suppose que la quantité de matière d’un corps est proportionnelle à la somme des angles entre les IBOZOO UU dynamiques et les IBOZOO UU semi-statiques. Cela signifie que plus les angles sont différents de 90°, plus il y a de matière dans le corps.
On introduit alors une constante m qui exprime le coefficient de proportionnalité entre la somme des angles entre les IBOZOO UU dynamiques et les IBOZOO UU semi-statiques et la quantité de matière du corps. Cette constante dépend des propriétés des IBOZOO UU et des unités de mesure utilisées.
On peut donc écrire: M = m(B1 + B2 + … + B10), où M est la masse du corps, m est une constante proportionnelle et B1,B2,…,B10 sont les angles entre les IBOZOO UU dynamiques et les IBOZOO UU semi-statiques.
Il faudra connaître la valeur exacte de la constante m et les conditions dans lesquelles elle est valable pour vérifier cette relation.
5) La relation entre le temps et les angles entre les IBOZOO UU semi-statiques: T = T(A1,A2,…,A10)
Développement de la relation T = T(A1,A2,…,A10):
On part du principe que le temps est une manifestation de la variation angulaire des IBOZOO UU dynamiques qui forment la matière. Cette variation angulaire entraîne une modification de l’état de la matière, qui est mesurée par le temps.
On suppose que la variation angulaire des IBOZOO UU dynamiques est proportionnelle au temps. Cela signifie que plus les angles entre les IBOZOO UU dynamiques et les IBOZOO UU semi-statiques changent rapidement, plus le temps s’écoule vite.
On introduit alors une constante t qui exprime le coefficient de proportionnalité entre la variation angulaire des IBOZOO UU dynamiques et le temps. Cette constante dépend des propriétés de la matière et des unités de mesure utilisées.
On peut donc écrire: T = t(B1 + B2 + … + B10), où T est le temps, t est une constante proportionnelle et B1,B2,…,B10 sont les angles entre les IBOZOO UU dynamiques et les IBOZOO UU semi-statiques.
Il faudra connaître la valeur exacte de la constante t et les conditions dans lesquelles elle est valable pour vérifier cette relation.
Re: LES MESSAGES DE IUUDII 512
Posté : 05 janv. 2024, 18:15
par Marc
Discussion :
Présentation des objectifs et des motivations de la théorie des IBOZOO UU, ainsi que les principaux résultats et implications :
La théorie des IBOZOO UU est une théorie qui unifie toutes les forces et les phénomènes de la nature en se basant sur des entités élémentaires décadimensionnelles appelées IBOZOO UU. Ces entités sont les éléments fondamentaux de la réalité et définissent toutes les propriétés physiques par des variations d’angle. Ils sont si petits qu’ils s’évaporent en émettant du rayonnement en un temps extrêmement court. Ce rayonnement est l’espace-temps lui-même, ainsi que toute la matière et l’énergie. La continuité entre un réseau d’IBOZOO UU évaporés et le réseau suivant assure le déroulement du temps et des paramètres cosmologiques, comme la vitesse de la lumière, la constante gravitationnelle ou la constante cosmologique.
La théorie des IBOZOO UU est compatible avec la relativité générale et la mécanique quantique, mais elle les dépasse en offrant une vision unifiée et cohérente de l’univers. Elle permet également de résoudre certains problèmes ou paradoxes qui restent inexpliqués par les théories actuelles, comme le problème de l’information des trous noirs, le problème de la singularité initiale ou le problème de la matière noire et de l’énergie noir
La théorie des IBOZOO UU a des applications et des conséquences dans différents domaines de la science et de la philosophie. Elle implique une nouvelle conception de l’espace-temps, de la matière, de l’énergie, du temps, de la causalité, de l’information, de la conscience ou de la réalité. Elle ouvre des possibilités inédites pour la communication, le voyage ou l’exploration interstellaires.
La théorie des IBOZOO UU est une théorie fascinante et audacieuse, qui remet en question certitudes et croyances. Elle vous invite à repousser les limites de votre imagination et à vous émerveiller devant la beauté et la complexité de WAAMWAAM.
Définition des concepts de base de la théorie, comme les IBOZOO UU, les angles, les magnitudes, les réseaux, les mutations et les résonances.
Dans cette partie, nous allons définir les concepts de base de la théorie des IBOZOO UU, qui sont les suivants:
Les IBOZOO UU : ce sont les entités élémentaires décadimensionnelles qui constituent la réalité. Chaque IBOZOO UU est caractérisé par dix axes orthogonaux qui représentent ses orientations. Ces axes sont notés A1, A2, …, A10.. Chaque axe a une direction et un sens, qui peuvent varier. Un IBOZOO UU n’a pas de position ni de taille, il n’existe pas dans l’espace ni dans le temps. Il n’a pas non plus de masse ni de charge, il n’est pas une particule ni une onde. Il est simplement une orientation décadimensionnelle.
Les IOAWOO (angles): ce sont les mesures des différences entre les OAWOO (orientations dimensionnelles) des IBOZOO UU. Chaque angle est défini par deux axes orthogonaux d’un même IBOZOO UU ou de deux IBOZOO UU différents. Par exemple, l’angle entre les axes A1 et A2 d’un IBOZOO UU est noté a12, et l’angle entre les axes A1 d’un IBOZOO UU et A2 d’un autre IBOZOO UU est noté a1A2. Chaque IOAWOO a une valeur comprise entre 0 et 2π radians, qui peut varier. Les angles sont les seules quantités mesurables dans la théorie des IBOZOO UU.
Les magnitudes: ce sont les propriétés physiques qui sont définies par les angles entre les IBOZOO UU. Il existe dix magnitudes fondamentales, qui correspondent aux dix axes des IBOZOO UU. Chaque magnitude est notée M1, M2, …, M10. Chaque magnitude a une valeur qui dépend des angles entre les IBOZOO UU qui la définissent. Par exemple, la magnitude M1 est définie par l’angle a1A1 entre deux IBOZOO UU voisins, et sa valeur est proportionnelle à cet angle. Les magnitudes sont les seules quantités observables dans la théorie des IBOZOO UU.
Les AYUU (réseaux): ce sont les ensembles ordonnés d’IBOZOO UU qui forment la structure de l’univers. Chaque AYUU est caractérisé par un nombre fini d’IBOZOO UU qui sont reliés entre eux par des angles constants. Chaque AYUU a une forme pseudo-géométrique qui dépend du nombre et de la disposition des IBOZOO UU qui le sous-tendent. Par exemple, un AYUU de quatre IBOZOO UU disposés en carré a une forme plane, tandis qu’un réseau de six IBOZOO UU disposés en tétraèdre a une forme tridimensionnelle.
Les AYUU sont les seules entités stables dans la théorie des IBOZOO UU.
Les IDUUIIBOZOO UU (mutations) : ce sont les changements d’orientation des IBOZOO UU qui entraînent des variations des IOAWOO et des OAWOO. Chaque mutation est définie par un axe d’un IBOZOO UU qui change de direction ou de sens. Chaque mutation a une cause et un effet, qui peuvent être internes ou externes au réseau auquel appartient l’IBOZOO UU muté. Par exemple, une mutation interne peut être due à une fluctuation quantique aléatoire, tandis qu’une mutation externe peut être due à l’influence d’un autre réseau ou d’un rayonnement. Les mutations se décrivent également comme des AYUU OXOOIAEAE (réseaux d'intrication à long terme). Les mutations sont les seules sources de dynamique dans la théorie des IBOZOO UU.
Les résonances: ce sont les phénomènes de synchronisation ou de coordination entre les mutations des IBOZOO UU. Chaque résonance est définie par un ensemble d’IBOZOO UU qui mutent selon un même axe ou selon des axes parallèles ou opposés. Chaque résonance a une fréquence et une amplitude, qui dépendent du nombre et de la disposition des IBOZOO UU.
Re: LES MESSAGES DE IUUDII 512
Posté : 05 janv. 2024, 18:47
par Marc
Modélisation des IBOZOO UU
Un IBOZOO UU peut se représenter par l'expérience visuelle de la perspective (linéaire ou axonométrique) d'une chaine de pyramides.

- IUU11001100110011.jpg (114.11 Kio) Vu 47445 fois
Représentation des IBOZOO UU :
Un IBOZOO UU peut se représenter par l'expérience visuelle d'une perspective axonométrique ou albertienne de pyramides en chaine. Nous utilisons pour cette modélisation une analogie métaphorique en faisant usage de la géométrie de la pyramide.
Les yeux de l'OEMII qui observent (en s'éloignant) la perspective optique ou axonométrique d'une telle chaine de pyramides, voient les arêtes, les bases ou les angles "plus ou moins alignés" ou "plus ou moins parallèles", former une chaine "plus ou moins régulière" d'objets "plus ou moins pyramidaux". L'ensemble des détails de l'image perd progressivement en netteté, puis disparait en un ultime point évanescent.
-Les plans ou les arêtes peuvent être vus comme des OAWOO (hyperplans)
-Les angles qui recoupent les plans peuvent être vus comme des IOAWOO (corrélations entre les hyperplans)
-Les chaines en perspective peuvent être vues comme des OXOOIAE (chaînes annulaires d'IBOZOO UU liés)
A une autre échelle :
-Les plans ou les arêtes peuvent être vus comme des OXOOIAE
-Les angles qui recoupent peuvent être vus comme des OXOOIAEAE (chaînes annulaires structurées)
-Les chaines en perspective peuvent être vues comme des AYUU d'OXOOIAE (chaines annulaires enchevêtrées)
A une autre échelle :
-Les plans ou les arêtes peuvent être vus comme des AYUU d'OXOOIAE
-Les angles qui recoupent les plans peuvent être vus comme des comme des particules fondamentales.
-Les chaines en perspective peuvent être vues comme des structures atomiques.
A une autre échelle :
-Les plans ou les arêtes peuvent être vus comme des UXGIGIIAAM WAAM (espaces réels) ou des WAAM (univers) ou des WAAMUWAAM (paires d'univers).
-Les angles qui recoupent les plans peuvent être vus comme des LEIYOO WAAM (effets frontières).
-Les chaines en perspective peuvent être vues comme des OXOOIALEIOOUUAAM
(chaines d'effets frontières)
Et à toutes les échelles :
Ces exemples d'AA INNUO (symétrie) et AA INNUO IEEDOO (rupture de symétrie), reflètent une "modification" dans un système (magnitude, résonance, mutation, réseau, enchevêtrement etc.)..
Dérivation des équations qui régissent le comportement des IBOZOO UU et leur interaction avec le rayonnement :
Dans cette partie, nous allons dériver les équations qui régissent le comportement des IBOZOO UU et leur interaction avec le rayonnement. Nous allons utiliser des outils mathématiques comme le calcul tensoriel, l’algèbre linéaire ou la géométrie différentielle pour formaliser la théorie.
Les tenseurs d’orientation :
Nous allons commencer par définir les tenseurs d’orientation, qui sont des objets mathématiques qui permettent de représenter les orientations des IBOZOO UU. Un tenseur d’orientation est un tableau de nombres qui contient les coordonnées des axes des IBOZOO UU dans un espace décadimensionnel. Par exemple, le tenseur d’orientation d’un IBOZOO UU est donné par :
T = | x1 y1 z1 w1 u1 v1 s1 t1 r1 q1 |
| x2 y2 z2 w2 u2 v2 s2 t2 r2 q2 |
| x3 y3 z3 w3 u3 v3 s3 t3 r3 q3 |
| x4 y4 z4 w4 u4 v4 s4 t4 r4 q4 |
| x5 y5 z5 w5 u5 v5 s5 t5 r5 q5 |
| x6 y6 z6 w6 u6 v6 s6 t6 r6 q6 |
| x7 y7 z7 w7 u7 v7 s7 t7 r7 q7 |
| x8 y8 z8 w8 u8 v8 s8 t8 r8 q8 |
| x9 y9 z9 w9 u9 v9 s9 t9 r9 q9 |
| x10 y10 z10 w10 u10 v10 s10 t10 r10 q10 |
Où chaque ligne correspond à un axe du IBOZOO UU et chaque colonne correspond à une dimension de l’espace. Par exemple, les coordonnées (x1, y1, z1, w1, u1, v1, s1, t1, r1, q1) représentent la direction et le sens de l’axe A1 du IBOZOO UU dans l’espace décadimensionnel.
Les tenseurs d’orientation ont des propriétés particulières qui découlent de la définition des IBOZOO UU.
Par exemple:
Les tenseurs d’orientation sont orthogonaux, c’est-à-dire que le produit scalaire entre deux lignes ou deux colonnes est nul. Cela signifie que les axes des IBOZOO UU sont perpendiculaires entre eux et entre les dimensions de l’espace.
Les tenseurs d’orientation sont normés, c’est-à-dire que le carré du produit scalaire entre une ligne ou une colonne et elle-même est égal à un. Cela signifie que les axes des IBOZOO UU ont une longueur unitaire et qu’ils ne varient pas en fonction de l’espace.
Les tenseurs d’orientation sont invariants sous rotation, c’est-à-dire que si on applique une rotation à l’espace décadimensionnel, le tenseur d’orientation ne change pas. Cela signifie que les orientations des IBOZOO UU ne dépendent pas du référentiel choisi pour les observer.
Les angles et les magnitudes :
Nous allons ensuite définir les angles et les magnitudes, qui sont les quantités mesurables et observables dans la théorie des IBOZOO UU. Les angles et les magnitudes sont définis à partir des tenseurs d’orientation par des formules mathématiques simples.
Les angles sont définis par le produit scalaire entre deux lignes ou deux colonnes d’un tenseur d’orientation ou de deux tenseurs d’orientation différents. Par exemple, l’angle a12 entre les axes A1 et A2 d’un IBOZOO UU est donné par: a12 = arccos(T11 * T21 + T12 * T22 + ... + T110 * T210) Où Tij est l’élément de la i-ème ligne et de la j-ème colonne du tenseur d’orientation du IBOZOO UU.
De même, l’angle a1A2 entre les axes A1 d’un IBOZOO UU et A2 d’un autre IBOZOO UU est donné par: a1A2 = arccos(T11 * T21' + T12 * T22' + ... + T110 * T210') Où Tij’ est l’élément de la i-ème ligne et de la j-ème colonne du tenseur d’orientation de l’autre IBOZOO UU. Chaque angle a une valeur comprise entre 0 et pi radians, qui peut varier.
Les magnitudes sont définies par des fonctions des angles entre les IBOZOO UU qui les déterminent. Il existe dix magnitudes fondamentales, qui correspondent aux dix axes des IBOZOO UU. Chaque magnitude est notée M1, M2, …, M10. Par exemple, la magnitude M1 est définie par l’angle a1A1 entre deux IBOZOO UU voisins, et sa valeur est proportionnelle à cet angle. La formule générale qui donne la valeur d’une magnitude Mi est la suivante:
Mi = k * aiAi Où k est une constante de proportionnalité qui dépend de la nature de la magnitude, et aiAi est l’angle entre les axes Ai de deux IBOZOO UU voisins. Les magnitudes sont les seules quantités observables dans la théorie des IBOZOO UU.
Nous pouvons vous donner un exemple numérique pour illustrer les angles et les magnitudes. Voici un exemple:
Supposons que nous avons deux IBOZOO UU dont les tenseurs d’orientation sont les suivants:
T = | 1 0 0 0 0 0 0 0 0 0 |
| 0 1 0 0 0 0 0 0 0 0 |
| 0 0 1 0 0 0 0 0 0 0 |
| 0 0 0 1 0 0 0 0 0 0 |
| 0 0 0 0 1 0 0 0 0 0 |
| -1/2 -1/2 -1/2 -1/2 -1/2 -1/2 -1/2 -1/2 -1/2 -1/2 |
| -1/2 -1/2 -1/2 -1/2 -1/2 -1/2 -1/2 -1/2 -1/2 -1/2 |
| -1/2 -1/2 -1/2 -1/2 -1/2 -1/2 -1/2 -1/2 -1/2 -1/2 |
| -1/2 -1/2 -1/2 -1/2 -1/2 -1/2 -1/2 -1/2 -1/2 -1/2 |
| -1/2 -1/2
Comparaison de la théorie des IBOZOO UU avec les théories actuelles de la physique, comme la relativité générale et la mécanique quantique :
Dans cette partie, nous allons comparer la théorie des IBOZOO UU avec les théories actuelles de la physique, comme la relativité générale et la mécanique quantique. Nous allons montrer comment la théorie des IBOZOO UU englobe et dépasse ces théories, et comment elle résout certains problèmes ou paradoxes qui restent inexpliqués par elles.
La relativité générale :
La relativité générale est la théorie de la gravité élaborée par Albert Einstein au début du XXe siècle. Elle décrit l’univers comme un espace-temps courbé par la présence de matière et d’énergie. Elle permet de comprendre des phénomènes comme le mouvement des planètes, la déviation de la lumière, le ralentissement du temps ou les trous noirs.
La théorie des IBOZOO UU est compatible avec la relativité générale, mais elle la dépasse en offrant une explication plus fondamentale de la gravité. Selon la théorie des IBOZOO UU, la gravité n’est pas une force qui agit à distance entre les masses, mais une propriété émergente de l’orientation des IBOZOO UU. La courbure de l’espace-temps est le résultat des variations des angles et des magnitudes entre les IBOZOO UU qui forment le réseau cosmique.
La théorie des IBOZOO UU permet également de résoudre certains problèmes ou paradoxes qui restent inexpliqués par la relativité générale. Par exemple:
Le problème de l’information des trous noirs :
Selon la relativité générale, un OAWOOIIANIOAAM (trou noir) est une région de l’espace-temps où rien ne peut s’échapper, pas même la lumière. Cela implique que toute l’information contenue dans un trou noir est perdue à jamais. Or, selon la mécanique quantique, l’information ne peut pas être détruite ni créée. Il y a donc une contradiction entre les deux théories. Selon la théorie des IBOZOO UU, un OAWOOIIANIOAAM n’est pas une singularité sans structure, mais un réseau d’IBOZOO UU organisé et très dense.
L’information n’est pas perdue dans un OAWOOIIANIOAAM, mais potentiellement transformée en rayonnement par les mutations des IBOZOO UU. Les OAWOOIIANIOAAM, qu'ils soient massifs ou stellaires sont eux-mêmes sous-tendus par des réseaux IBOZOO UU, c'est à dire des particules de Planck/IBOZOO UU. Les OAWOOIIANIOAAM appartiennent à une catégorie d'objets de diverses tailles : quantiques, stellaires, massifs ou cosmiques. Ils ont comme propriété invariante de générer des horizons cosmologiques par émission ou absorption de rayonnements. Les IBOZOO UU sont eux-mêmes des horizons des évènements qui interagissent en réseaux corrélés.
Ainsi du point de vue de la théorie des IBOZOO UU : les trous noirs ne sont pas noirs et ne sont pas non plus des trous.
En effet : d'une part, c'est le rayonnement des IBOZOO UU qui est à l'origine de l'espace-temps, de l'énergie et de la matière etc ; et d'autre part, aucune matière ne disparait lorsque l'horizon des évènements est franchi. Les IBOZOO UU et les OAWOOIIANIOAAM sont les entités cosmiques les plus répandues dans le WAAMWAAM. Ils ne sont PAS des singularités.
Ainsi nous définissons l'instant initial d'un WAAMUWAAM (paire d'univers) comme l'apparition d'un horizon cosmologique sous-tendu par l'alignement corrélatif d'un réseau d'IBOZOO UU. Autrement dit, en utilisant l'analogie du trou noir malgré les erreurs sémantiques et conceptuelles inhérentes à l'approche scientifique terrestre : " l'univers est dans un trou noir ".
Le problème de la singularité initiale: selon la relativité générale, l’univers a commencé par une explosion appelée le Big Bang, qui correspond à un point de densité et de température infinies. Cela implique que les lois de la physique ne s’appliquent pas à cet instant initial. Or, il n'est pas correct d’admettre qu’il existe un moment où la physique n’a pas de sens. Selon la théorie des IBOZOO UU, l’univers n’a pas commencé par une singularité, mais fut précédé par un état où les IBOZOO UU étaient tous alignés selon le même axe. Il ne s'agit pas d'une singularité mais du WAAMIAAYO, c'est à dire l'origine d'une seule coordonnée qui est précisément le temps. Cet état correspond à un minimum d’entropie et de complexité. Il n'existe pas de singularité initiale indépendante des lois de la physique. Le WAAMUWAAM (la paire d'univers) a ensuite évolué vers un état plus désordonné et plus diversifié par les mutations et les résonances des chaines et réseaux IBOZOO UU.
La mécanique quantique :
La mécanique quantique est la théorie qui décrit le comportement des particules élémentaires et des phénomènes à l’échelle atomique ou subatomique. Elle révèle un monde étrange où les objets peuvent être à la fois ondes et particules, où l’indétermination et le hasard sont fondamentaux, où l’intrication et le non-localité sont possibles.
La théorie des IBOZOO UU est compatible avec la mécanique quantique, mais elle la dépasse en offrant une explication plus fondamentale de la nature quantique. Selon la théorie des IBOZOO UU, les particules élémentaires ne sont pas des objets ponctuels ou étendus, mais des réseaux d’IBOZOO UU qui émettent et absorbent du rayonnement. Le rayonnement est l’espace-temps lui-même, ainsi que toute la matière et l’énergie. Les propriétés quantiques des particules et du rayonnement sont le résultat des mutations et des résonances des IBOZOO UU.
La théorie des IBOZOO UU permet également de résoudre certains problèmes ou paradoxes qui restent inexpliqués par la mécanique quantique. Par exemple:
Le problème de la mesure quantique:
Selon la mécanique quantique, un système quantique peut être dans une superposition d’états, c’est-à-dire qu’il peut avoir plusieurs valeurs possibles pour une même grandeur physique. Par exemple, un électron peut avoir deux valeurs possibles pour son spin: +1/2 ou -1/2. Lorsqu’on mesure le spin de l’électron, on obtient une seule valeur, qui est aléatoire. On dit que la mesure fait s’effondrer la fonction d’onde du système. Or, il n’existe pas de règle claire pour définir ce qu'est une mesure, ni ce qui provoque l’effondrement de la fonction d’onde. Selon la théorie des IBOZOO UU, un système quantique ne peut pas être dans une superposition d’états pour un même UXGIGIIAM WAAM (référentiel), mais dans un état défini par le cadre, les angles et les magnitudes des IBOZOO UU qui le sous-tendent. Lorsqu’on mesure une grandeur physique, on interagit avec le système par le rayonnement. Cette interaction provoque des mutations et des résonances des IBOZOO UU, qui modifient les angles et les magnitudes du système. La mesure n’est pas un processus aléatoire, mais un processus déterministe qui dépend de l’état initial du système et de l’observateur.
Le problème du chat de Schrödinger:
Selon la mécanique quantique, un système quantique peut être dans une superposition d’états, même s’il est macroscopique. Par exemple, on peut imaginer un chat enfermé dans une boîte avec un dispositif qui libère du poison si un atome radioactif se désintègre. L’atome radioactif est un système quantique qui peut être dans une superposition d’états: désintégré ou non désintégré. Par conséquent, le chat est aussi dans une superposition d’états: mort ou vivant. On dit que le chat est à la fois mort et vivant tant qu’on n’ouvre pas la boîte. Or, il n'est pas correct d’admettre qu’un objet macroscopique puisse être dans deux états contradictoires à la fois. Selon la théorie des IBOZOO UU, un système macroscopique n’est pas dans une superposition d’états pour un référentiel identique, mais dans un état défini par les angles et les magnitudes des IBOZOO UU qui le sous-tendent. Il serait plus judicieux de parler de AIOOYAU (superposition) de référentiels possibles (multivers) pour un réseau IBOZOO UU. Le chat n’est pas à la fois mort et vivant, mais soit mort soit vivant selon que l’atome radioactif s’est désintégré ou non dans un référentiel donné. L’état du chat est déterminé par les mutations et les résonances des IBOZOO UU qui constituent l’atome radioactif, le dispositif et le poison dans un cadre de référence. Toutes les solutions 'apparaissent' dans les référentiel appropriés dès lors qu'elles sont observés.
Discussion sur les applications et conséquences de la théorie des IBOZOO UU dans différents domaines de la science et de la philosophie :
Dans cette partie, nous allons discuter des applications et des conséquences de la théorie des IBOZOO UU dans différents domaines de la science et de la philosophie. Nous allons explorer les implications de la théorie sur la nature de l’espace-temps, de la matière, de l’énergie, du temps, de la causalité, de l’information, de la conscience ou de la réalité.
La nature de l’espace-temps :
La théorie des IBOZOO UU implique une nouvelle conception de l’espace-temps. Selon la théorie des IBOZOO UU, l’espace-temps n’est pas un contenant vide et absolu qui accueille les événements physique. Il n'est ni contenant ni contenu mais la manifestation dynamique et relative qui résulte d'événements physiques sous-jacents. L’espace-temps est le rayonnement émis par les IBOZOO UU lorsqu’ils s’évaporent. L’espace-temps est donc discret, fluctuant et probabiliste. Il n’existe pas d’espace-temps en soi, mais seulement des relations entre les IBOZOO UU qui le sous-tendent.
La théorie des IBOZOO UU permet également de résoudre certains problèmes ou paradoxes liés à l’espace-temps. Par exemple:
Le problème du voyage dans le temps: selon la relativité générale, il existe des solutions mathématiques qui permettent de voyager dans le temps en utilisant des courbures extrêmes de l’espace-temps, comme les trous de ver ou les cylindres de Tipler.
Or, ces solutions posent des paradoxes logiques, comme le paradoxe du grand-père ou le paradoxe du bootstrap. Selon la théorie des IBOZOO UU, le voyage dans le temps est possible, mais seules les solutions sans violation du principe de causalité coexistent dans un même référentiel. La causalité est préservée par le principe universel des horizons cosmologiques. Le principe de causalité stipule que les mutations et les résonances des IBOZOO UU ne peuvent pas affecter les IBOZOO UU qui leur sont antérieurs dans le réseau cosmique du même cadre référentiel. Il existe donc des boucles temporelles et des effets de rétro-causalité mais limités aux horizons cosmologiques générés par les réseaux IBOZOO UU.
Le problème du temps imaginaire: selon la mécanique quantique, il existe une notion de temps imaginaire qui permet de simplifier certains calculs ou certaines interprétations. Par exemple, le temps imaginaire permet de définir la fonction de partition d’un système quantique ou d’interpréter la fonction d’onde comme une amplitude de probabilité. Or, il n’existe pas de justification physique ni d’observation expérimentale du temps imaginaire. Selon la théorie des IBOZOO UU, le temps imaginaire n’existe pas car les réseaux d'IBOZOO UU sont eux-mêmes la temporalité qui définit la structure et les propriétés du temps dans chaque UXGIIGIIAM WAAM (cadre référentiel). Le temps et l’espace sont tous deux définis par les angles et les magnitudes entre les IBOZOO UU qui forment le réseau cosmique. Il n’existe donc pas de temps imaginaire au sens physique ni de rotation entre le temps et l’espace dans la théorie des IBOZOO UU mais il existe d'autres cadres référentiels et dimensionnels au sein desquels d'autres solutions métriques, paramétriques et cosmologiques existent.
La nature de la matière :
La théorie des IBOZOO UU implique une nouvelle conception de la matière. Selon la théorie des IBOZOO UU, la matière n’est pas constituée d’entités solides et persistantes qui occupent un espace et possèdent une masse et une charge, mais d’entités évanescentes et fluctuantes qui définissent un espace et possèdent une orientation et une magnitude. La matière est le rayonnement émis par les IBOZOO UU lorsqu’ils s’évaporent.
La matière est donc discrète, fluctuante et probabiliste.
La nature de l’énergie :
La théorie des IBOZOO UU implique une nouvelle conception de l’énergie. Selon la théorie des IBOZOO UU, l’énergie n’est pas une quantité qui se conserve et qui se transfère entre les systèmes physiques, mais une propriété qui se transforme et qui se manifeste dans les systèmes physiques. L’énergie est le rayonnement émis par les IBOZOO UU lorsqu’ils s’évaporent et mutent. L’énergie est donc discrète, fluctuante et probabiliste. Il n’existe pas d’énergie en soi, mais seulement des relations entre les IBOZOO UU qui la sous-tendent.
La théorie des IBOZOO UU permet également de résoudre certains problèmes ou paradoxes liés à l’énergie. Par exemple :
Le problème du vide quantique: selon la mécanique quantique, le vide n’est pas un état d’absence de matière et d’énergie, mais un état d’activité incessante où des particules virtuelles apparaissent et disparaissent sans cesse. Le vide quantique possède donc une énergie non nulle, appelée énergie du point zéro. Or, cette énergie du point zéro est infiniment plus grande que l’énergie observée dans l’univers. Il y a donc une contradiction entre la théorie et l’expérience. Selon la théorie des IBOZOO UU, le vide n’est pas un état d’activité incessante, mais un état d’équilibre statique où les IBOZOO UU sont tous alignés selon le même axe. Le vide ne possède donc pas d’énergie du point zéro, mais une entropie minimale. Il n’y a donc pas de contradiction entre la théorie et l’expérience.
Le problème de la constante cosmologique: selon la relativité générale, la constante cosmologique est un terme qui apparaît dans les équations de la gravité et qui représente l’énergie du vide. La constante cosmologique est responsable de l’accélération de l’expansion de l’univers. Or, la valeur de la constante cosmologique mesurée par les observations est très petite, mais non nulle. Il n’existe pas de justification théorique ni de principe naturel qui explique cette valeur. Selon la théorie des IBOZOO UU, la constante cosmologique n’est pas un terme qui apparaît dans les équations de la gravité, mais un effet qui résulte des mutations et des résonances des IBOZOO UU qui forment le réseau cosmique. La constante cosmologique est proportionnelle à la fréquence et à l’amplitude des résonances entre les IBOZOO UU. Il existe donc une justification théorique et un principe naturel qui expliquent cette valeur.
La nature du temps :
La théorie des IBOZOO UU implique une nouvelle conception du temps. Selon la théorie des IBOZOO UU, le temps n’est pas une dimension indépendante et absolue qui s’écoule uniformément et irréversiblement, mais une dimension dépendante et relative qui s’écoule différemment et réversiblement. Le temps est le rayonnement émis par les IBOZOO UU lorsqu’ils s’évaporent. Le temps est donc discret, fluctuant et probabiliste. Il n’existe pas de temps en soi, mais seulement des relations entre les IBOZOO UU qui en sont la manifestation et qu'on peut également décrire comme des quantas temporels.
La théorie des IBOZOO UU permet également de résoudre certains problèmes ou paradoxes liés au temps. Par exemple:
Le problème du flèche du temps: selon la mécanique quantique et la relativité générale, les lois de la physique sont symétriques par rapport au temps, c’est-à-dire qu’elles ne changent pas si on inverse le sens du temps. Or, nous observons que la structure du temps est liée aux propriétés physiques d'un WAAM, c’est-à-dire que la direction de la flèche est relative et modulable. Ceci permet de comprendre l'apparente contradiction entre les lois fondamentales et l’expérience quotidienne de l'OEMII (humain). C'est la formulation de propriétés physiques uniques et inhérentes à chaque UXGIGIIAAM WAAM (espace réel) qui est INVARIANTE par changement de référentiel temporel.
Le paradoxe des jumeaux: selon la relativité restreinte, le temps s'écoule plus lentement pour un observateur en mouvement que pour un observateur au repos. Ainsi, si deux jumeaux sont séparés et que l'un voyage à une vitesse proche de celle de la lumière, il reviendra plus jeune que son frère resté sur Terre. Or, selon le principe de relativité, aucun référentiel n'est privilégié et les deux jumeaux peuvent se considérer comme au repos par rapport à l'autre. Il y a donc une contradiction entre les points de vue des deux jumeaux.
La théorie des IBOZOO UU résout ces problèmes en proposant une vision différente du temps. Selon cette théorie, le temps n'est pas une dimension indépendante et absolue qui s'écoule uniformément et irréversiblement, mais une dimension dépendante et relative qui s'écoule différemment et réversiblement. Le temps est le rayonnement émis par les IBOZOO UU lorsqu'ils s'évaporent. Le temps est donc discret, fluctuant et probabiliste. Il n'existe pas de temps en soi, mais seulement des relations entre les IBOZOO UU qui sous-tendent.
Les IBOZOO UU sont des entités élémentaires qui constituent la base de n'importe quel quantum de la nature ; ils sont capables de varier leur orientation angulaire dans l'espace et de transmettre de l'information à d'autres IBOZOO UU. Chaque variation angulaire correspond à une magnitude physique, comme la masse, la charge, l'énergie, etc. Le temps est l'une de ces magnitudes, qui correspond à l'émission d'un photon par un réseau d'IBOZOO UU interactif lorsqu'il transmet une partie de son énergie interne.
Ainsi, le temps n'est pas une grandeur continue et linéaire, mais une grandeur discrète et circulaire. Il n'y a pas un temps unique et universel, mais autant de temps que de réseaux d'IBOZOO UU. Chaque IBOZOO UU possède son propre rythme temporel, qui dépend de son état énergétique et de son interaction avec les autres IBOZOO UU. Le temps peut donc varier d'un point à un autre de l'espace, et même s'inverser si un OXOOIAEAE absorbe un photon au lieu d'en émettre un.
Cette conception du temps permet d'expliquer le problème de la flèche du temps et le paradoxe des jumeaux. Le sens du temps n'est pas déterminé par les lois de la physique, mais par le sens du rayonnement des IBOZOO UU. Si tous les IBOZOO UU émettent plus de photons qu'ils n'en absorbent, le temps s'écoule du passé vers le futur. Si certains IBOZOO UU absorbent plus de photons qu'ils n'en émettent, le temps s'écoule du futur vers le passé. En réalité, ils ont changé leur cadre référentiel pour se manifester dans UWAAM (univers jumeau). Dans ce nouveau cadre, leur vitesse limite est supérieure à la vitesse de la lumière du WAAM, mais de leur "point de vue", le temps ne s'écoule pas à l'envers. Si tous les IBOZOO UU sont en équilibre thermique, le temps s'arrête, WAAM AIOOIEDOO (le cosmos n'existe pas). De même dans le cas limite d'un référentiel où la vitesse de la lumière serait infinie puisque on pourrait assimiler ce WAAM une identification de tous les IBOZOO UU avec lui-même, c'est-à-dire à un seul IBOZOO UU qui, comme nous l'avons précisé, n'a aucune réalité PHYSIQUE.
Le paradoxe des jumeaux n'en est plus un si l'on considère que chaque jumeau possède son propre temps, qui dépend de son mouvement relatif par rapport aux autres IBOZOO UU. Le jumeau qui voyage à une vitesse proche de celle de la lumière subit une contraction de l'espace et une dilatation du temps selon la relativité restreinte. Cela signifie que son réseau d'IBOZOO UU se contracte spatialement et se dilate temporellement, c'est-à-dire qu'il émet moins de photons qu'il n'en reçoit. Son temps s'écoule donc plus lentement que celui de son frère resté sur Terre. Il n'y a pas de contradiction entre les points de vue des deux jumeaux, car ils ne mesurent pas le même temps.
La théorie des IBOZOO UU implique une nouvelle conception du temps, qui n'est plus une dimension indépendante et absolue, mais une dimension fluctuante, dépendante et relative.
Le temps est le rayonnement émis par les IBOZOO UU lorsqu'ils s'évaporent et mutent. Le temps est donc discret, fluctuant et probabiliste. Il n'existe pas de temps en soi pour l'ensemble de la réalité, mais seulement des relations de corrélation entre les IBOZOO UU qui le sous-tendent.
Le temps peut varier d'un UXGIGIIAM WAAM à un autre du WAAM, et même s'inverser si une chaine d'IBOZOO UU absorbe un photon au lieu d'en émettre un. Cette conception du temps permet d'expliquer les problèmes ou paradoxes liés au temps.
La théorie des IBOZOO UU résout toutes les contradictions engendrées par la méthodologie scientifique terrestre grâce à une approche mathématique tétravalente qui postule des domaines innovants des sciences et de la cosmologie comme la mathématique des infinis parmi d'autres notions indissociables de la théorie des IBOZOO UU pour la comprendre dans sa globalité. La logique mathématique AADOAUGOO UWUUA IAS offre une compréhension globale de l'intrication à longue distance et de la matière quantique topologique.
Re: LES MESSAGES DE IUUDII 512
Posté : 06 janv. 2024, 16:07
par Marc
Document annexe sur l'IBOZOOAIDAA (résonateur harmonique)
Dans ce document nous présentons les principes de base de l'IBOZOOAIDAA, un équipement fondamental et déterminant du contrôle OXOOUDUUO GIIUULOO (variations et oscillations des ondes gravitationnelles) et absolument nécessaire pour l'inversion des IBOZOO UU des OAWOOLEA UEWA OEMM (vaisseaux spatiaux). Ce dispositif est inséré et installé au cœur de la XOODINAA (coque ou revêtement multicouche complexe) du UEWA.
Ce document s'adresse à des personnes qui ont une connaissance préalable de la théorie
des IBOZOO UU. Quelques formules mathématiques illustrent les concepts exposés, mais
elles ne sont pas indispensables à la compréhension générale du document.
Les IBOZOO UU :
Les IBOZOO UU sont les composants élémentaires décadimensionnels de la réalité. Ils ne sont pas des particules matérielles ni des ondes, mais des entités mathématiques qui définissent les propriétés de l'espace-temps. Chaque IBOZOO UU possède dix axes orientés, qui sont des vecteurs unitaires dans dix dimensions orthogonales. Ces axes sont notés A1, A2, ..., A10. Chaque axe peut prendre deux valeurs possibles: +1 ou -1.
Ainsi, un IBOZOO UU peut être représenté par un vecteur à dix composantes binaires :

- e51cf5_f19b7d3dd3414ef09a09b79430c4301a~mv2.jpg (4.69 Kio) Vu 47429 fois
Où chaque

- e51cf5_6b0a6e45c6db4383b53f02b91273b6ed~mv2.jpg (1.33 Kio) Vu 47429 fois
est égal à +1 ou -1.
Une autre façon de représenter un IBOZOO UU est d'utiliser une matrice carrée à dix lignes et dix colonnes, dont les éléments sont égaux à +1 ou -1. Cette matrice est appelée la matrice de Pauli généralisée du IBOZOO UU. Elle se construit à partir des matrices de Pauli usuelles en physique quantique, qui sont des matrices 2x2 qui représentent les opérateurs de spin:

- render (2).jpg (12.48 Kio) Vu 47429 fois
La matrice de Pauli généralisée du IBOZOO UU s'obtient en faisant le produit tensoriel des matrices de Pauli correspondant aux valeurs des composantes du vecteur du IBOZOO UU. Par exemple, si le vecteur du IBOZOO UU est

- render 5.jpg (4.78 Kio) Vu 47417 fois
sa matrice de Pauli généralisée est :

- render (3) 6.jpg (7.43 Kio) Vu 47417 fois
Où

- render (4) 7.jpg (1.46 Kio) Vu 47417 fois
désigne le produit tensoriel.
La matrice de Pauli généralisée du IBOZOO UU a plusieurs propriétés intéressantes. Tout d'abord, elle est hermitienne, c'est-à-dire qu'elle est égale à sa transposée conjuguée :

- render (5) 8.jpg (4.04 Kio) Vu 47417 fois
Où

- render (6) 9.jpg (1.28 Kio) Vu 47417 fois
désigne l'opération de transposition conjuguée.
Ensuite, elle est unitaire, c'est-à-dire qu'elle vérifie :

- render (7) 10.jpg (7.64 Kio) Vu 47417 fois
Où

- render (8) 11.jpg (1.59 Kio) Vu 47417 fois
est la matrice identité de taille 10x10.
Enfin, elle a un déterminant égal à +1 ou -1, selon la valeur de la composante A10 du vecteur du IBOZOO UU :

- render (9) 12.jpg (4.38 Kio) Vu 47400 fois
La représentation matricielle des IBOZOO UU permet de calculer facilement les relations angulaires entre les axes orientés des IBOZOO UU. En effet, la relation angulaire entre les axes Ai de deux IBOZOO UU voisins est donnée par le produit scalaire entre les matrices de Pauli généralisées correspondant à ces axes:

- render (10) 13.jpg (8.95 Kio) Vu 47400 fois
Où

- render (11) 14.jpg (1.41 Kio) Vu 47400 fois
désigne la trace d'une matrice, et

- render (12) 15.jpg (1.55 Kio) Vu 47400 fois
est la matrice de Pauli correspondant à l'axe Ai.
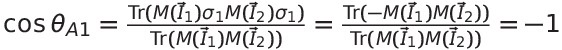
Par exemple, si les vecteurs des deux IBOZOO UU sont :

- render 16.jpg (9.7 Kio) Vu 47395 fois
la relation angulaire entre les axes A1 est:

- render (14) 17.jpg (15.7 Kio) Vu 47395 fois
Ce qui signifie que les axes A1 des deux IBOZOO UU sont opposés.