Page 2 sur 5
Re: LES MESSAGES DE IUUDII 512
Posté : 07 janv. 2024, 18:12
par Marc
L'effet des ondes scalaires sur les IBOZOO UU :
Le modulateur d'ondes scalaires XOODINAA GIIUULOO transforme les impulsions électriques produites par le générateur d'impulsions électromagnétique en ondes scalaires. Les ondes scalaires sont des ondes qui ne se propagent pas dans l'espace tridimensionnel, mais dans les dimensions supérieures. Elles ont la propriété de pouvoir interagir avec les axes orientés des IBOZOO UU, et de pouvoir les inverser.
Pour comprendre comment les ondes scalaires agissent sur les IBOZOO UU, il faut d'abord comprendre comment les impulsions électriques sont transformées en ondes scalaires. Pour cela, il faut introduire le concept de tenseur d'impulsion-énergie. Le tenseur d'impulsion-énergie est un objet mathématique qui décrit la distribution de la masse et de l'énergie dans un système physique. Il est défini par une matrice carrée à quatre lignes et quatre colonnes, dont les éléments sont des fonctions du temps et de l'espace.
Il se note

- render (48) 50.jpg (1.54 Kio) Vu 14086 fois

- render (15) 18.jpg (1.68 Kio) Vu 17535 fois
où

- render (16) 19.jpg (1.43 Kio) Vu 17535 fois
et

- render (17) 20.jpg (1.44 Kio) Vu 17535 fois
sont des indices qui varient de 0 à 3.

- render (40) 42.jpg (1.64 Kio) Vu 17520 fois
Le tenseur d'impulsion-énergie se note aussi

- render (18) 21.jpg (1.79 Kio) Vu 17535 fois
où les indices sont abaissés par la métrique de l'espace-temps.
Le tenseur d'impulsion-énergie contient toutes les informations sur la masse et l'énergie d'un système physique. Par exemple, la composante

- render (19) 22.jpg (1.83 Kio) Vu 17535 fois
représente la densité d'énergie du système, la composante

- render (20) 23.jpg (1.7 Kio) Vu 17535 fois
représente le flux d'énergie dans la direction

- render (21) 24.jpg (1.2 Kio) Vu 17535 fois
la composante

- render (22) 24.jpg (1.69 Kio) Vu 17535 fois
représente la densité de quantité de mouvement dans la direction

- render (21) 24.jpg (1.2 Kio) Vu 17535 fois
et la composante

- render (24) 25.jpg (1.66 Kio) Vu 17535 fois
représente le flux de quantité de mouvement dans la direction

- render (25) 26.jpg (1.24 Kio) Vu 17535 fois
Le tenseur d'impulsion-énergie est un objet covariant, c'est-à-dire qu'il change de forme selon le référentiel dans lequel il est observé.
Le tenseur d'impulsion-énergie est lié à la courbure de l'espace-temps par l'équation d'Einstein, qui est l'équation fondamentale de la relativité générale.
L'équation d'Einstein s'écrit:

- render (26) 29.jpg (7.39 Kio) Vu 17526 fois
Où

- render (27) 30.jpg (1.89 Kio) Vu 17526 fois
est le tenseur de Ricci,

- render (28) 31.jpg (1.5 Kio) Vu 17526 fois
qui mesure la courbure de l'espace-temps, est le scalaire de Ricci, qui est la trace du tenseur de Ricci,

- render (29) 32.jpg (1.92 Kio) Vu 17526 fois
est le tenseur métrique, qui définit les distances et les angles dans l'espace-temps,

- render (30) 33.jpg (1.43 Kio) Vu 17526 fois
est la constante cosmologique, qui représente l'énergie du vide,

- render (31) 34.jpg (1.5 Kio) Vu 17526 fois
est la constante gravitationnelle, et

- render (32) 35.jpg (1.38 Kio) Vu 17526 fois
est la vitesse de la lumière.
L' équation d'Einstein exprime le fait que la courbure de l'espace-temps est proportionnelle au tenseur d'impulsion-énergie. Autrement dit, la masse et l'énergie déforment l'espace-temps, et l'espace-temps influe sur le mouvement de la masse et de l'énergie. C'est ainsi que se manifeste la gravitation dans la relativité générale.
Revenons maintenant aux impulsions électriques produites par le générateur d'impulsions électromagnétiques et calculées par le XANMOO. Ces impulsions électriques sont des ondes électromagnétiques, qui sont des solutions des équations de Maxwell. Les équations de Maxwell sont les équations qui régissent le comportement des champs électrique

- render (47) 49.jpg (1.46 Kio) Vu 17518 fois
et magnétique dans un milieu vide. Elles s'écrivent:

- render (35) 37.jpg (12.57 Kio) Vu 17520 fois
Où

- render (36) 38.jpg (1.43 Kio) Vu 17520 fois
est l'opérateur nabla, qui représente le gradient ou le rotationnel selon le contexte,

- render (37) 39.jpg (1.47 Kio) Vu 17520 fois
est la densité de charge électrique,

- render (38) 40.jpg (1.66 Kio) Vu 17520 fois
est la permittivité du vide,

- render (39) 41.jpg (1.37 Kio) Vu 17520 fois
est la densité de courant électrique, et

- render (40) 42.jpg (1.64 Kio) Vu 17520 fois
est la perméabilité du vide.

- IG11.jpg (125.7 Kio) Vu 17520 fois
Re: LES MESSAGES DE IUUDII 512
Posté : 09 janv. 2024, 15:51
par Marc
Les équations de Maxwell peuvent être écrites sous une forme plus compacte en utilisant le formalisme tensoriel. Pour cela, il faut introduire le quadri-vecteur potentiel

- render (41) 44.jpg (1.67 Kio) Vu 17506 fois
qui contient le potentiel électrique

- render (42) 45.jpg (1.52 Kio) Vu 17506 fois
et le potentiel vecteur

- render (43) 46.jpg (1.49 Kio) Vu 17506 fois
:

- render (44) 46.jpg (5.12 Kio) Vu 17506 fois
Où est la vitesse de la lumière.
À partir du quadri-vecteur potentiel

- render (41) 44.jpg (1.67 Kio) Vu 17506 fois
,on peut définir le tenseur électromagnétique

- render (46) 48.jpg (1.73 Kio) Vu 17506 fois
, qui contient les composantes des champs électrique

- render (47) 49.jpg (1.46 Kio) Vu 17506 fois
et magnétique

- render (48) 50.jpg (1.54 Kio) Vu 17506 fois
:

- render (49) 51.jpg (5.62 Kio) Vu 17506 fois
Où

- render (50) 52.jpg (1.62 Kio) Vu 17506 fois
est l'opérateur dérivée partielle par rapport à la coordonnée

- render (51) 53.jpg (1.58 Kio) Vu 17506 fois
Le tenseur électromagnétique

- render (46) 48.jpg (1.73 Kio) Vu 17506 fois
est un objet antisymétrique, c'est-à-dire qu'il vérifie :

- render (53) 55.jpg (3.11 Kio) Vu 17506 fois
Il a donc six composantes indépendantes, qui correspondent aux trois composantes du champ électrique et aux trois composantes du champ magnétique. On peut les écrire sous la forme :

- render (54) 59.jpg (6.69 Kio) Vu 17506 fois
Où Ei et Bi sont les composantes du champ électrique et du champ magnétique dans la direction i, et

- render (58) 56.jpg (2.01 Kio) Vu 17506 fois
est le symbole de Levi-Civita, qui est égal à +1 si

- render (59) 58.jpg (2.2 Kio) Vu 17506 fois
est une permutation paire de (1,2,3), à -1 si (i,j,k) est une permutation impaire de (1,2,3), et à 0 sinon.
Les équations de Maxwell peuvent alors être écrites sous la forme :

- render (60) 60.jpg (8.35 Kio) Vu 17506 fois
Re: LES MESSAGES DE IUUDII 512
Posté : 09 janv. 2024, 16:07
par Marc
Où

- render (61) 61.jpg (1.48 Kio) Vu 17506 fois
est le quadri-vecteur courant, qui contient la densité de charge électrique

- render (62) 62.jpg (1.47 Kio) Vu 17506 fois
et la densité de courant électrique

- render (61) 61.jpg (1.48 Kio) Vu 17506 fois
:

- render (64).jpg (3.53 Kio) Vu 17502 fois
La première équation exprime la conservation de la charge électrique, et la seconde exprime l'homogénéité et l'isotropie de l'espace-temps.
le tenseur électromagnétique

- render (46) 48.jpg (1.73 Kio) Vu 17502 fois
est lié au tenseur d'impulsion-énergie

- render (66).jpg (1.68 Kio) Vu 17502 fois
par la relation suivante :

- render (67).jpg (7.83 Kio) Vu 17502 fois
Où

- render (68).jpg (1.91 Kio) Vu 17502 fois
est le tenseur métrique de l'espace-temps.
Cette relation exprime le fait que le champ électromagnétique possède une masse et une énergie, qui contribuent à la courbure de l'espace-temps.
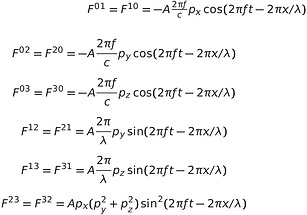
Revenons aux impulsions électriques produites par le générateur d'impulsions électromagnétiques calculées par XANMOO. Ces impulsions électriques sont des ondes électromagnétiques, qui sont caractérisées par une fréquence f, une longueur d'onde

- render (69).jpg (1.43 Kio) Vu 17502 fois
, une amplitude A, et une polarisation

- render (70).jpg (1.54 Kio) Vu 17502 fois
. On peut les représenter par le quadri-vecteur potentiel suivant :

- render (71).jpg (14.25 Kio) Vu 17502 fois
Où t est le temps, x est la coordonnée spatiale dans la direction de propagation de l'onde, et

- render (72).jpg (1.64 Kio) Vu 17502 fois

- render (73).jpg (1.66 Kio) Vu 17502 fois

- render (74).jpg (1.61 Kio) Vu 17502 fois
sont les composantes du vecteur de polarisation

- render (75).jpg (1.54 Kio) Vu 17502 fois
À partir du quadri-vecteur potentiel

- render (41) 44.jpg (1.67 Kio) Vu 17487 fois
, on peut calculer le tenseur électromagnétique

- render (46) 48.jpg (1.73 Kio) Vu 17487 fois
, en utilisant la formule :

- render (78).jpg (4.19 Kio) Vu 17487 fois
On obtient alors :

- render (1) 79.jpg (20.29 Kio) Vu 17487 fois
Les autres composantes du tenseur électromagnétique sont nulles.
On peut vérifier que les composantes du tenseur électromagnétique correspondent bien aux composantes des champs électrique

- render (47) 49.jpg (1.46 Kio) Vu 17487 fois
et magnétique

- render (48) 50.jpg (1.54 Kio) Vu 17487 fois
, en utilisant les formules : ,

- render (82).jpg (5.22 Kio) Vu 17487 fois
On obtient alors :

- render (83).jpg (11.25 Kio) Vu 17487 fois
On reconnaît bien les expressions des champs électrique et magnétique d'une onde électromagnétique plane et monochromatique.
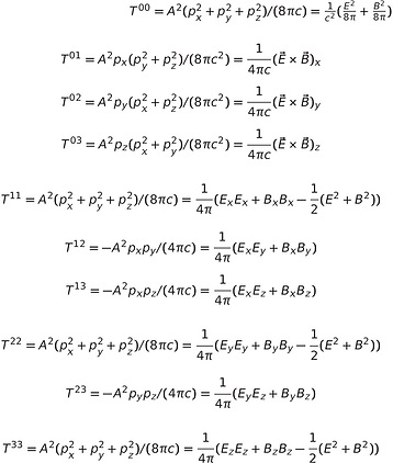
À partir du tenseur électromagnétique

- render (46) 48.jpg (1.73 Kio) Vu 17487 fois
on peut calculer le tenseur d'impulsion-énergie

- render (15) 18.jpg (1.68 Kio) Vu 17487 fois
, en utilisant la formule :

- render (86).jpg (9.03 Kio) Vu 17487 fois
Re: LES MESSAGES DE IUUDII 512
Posté : 10 janv. 2024, 20:36
par Marc
Où
[render (87).jpg/attachment]
[b][size=150] est le tenseur métrique de l'espace-temps.
On obtient alors : [/size][/b] [attachment=19]render (2) 88.jpg
Les autres composantes du tenseur d'impulsion-énergie sont nulles.
On peut vérifier que les composantes du tenseur d'impulsion-énergie correspondent bien à la densité d'énergie, au flux d'énergie et au flux de quantité de mouvement du champ électromagnétique, en utilisant les formules :

- render (90).jpg (11.22 Kio) Vu 17479 fois
Où

- render (91).jpg (1.65 Kio) Vu 17479 fois
est le symbole de Kronecker, qui est égal à 1 si i=j, et à 0 sinon.
On obtient alors :

- render (3) 89.jpg (43.33 Kio) Vu 17479 fois
On reconnaît les expressions de la densité d'énergie, du flux d'énergie et du flux de quantité de mouvement du champ électromagnétique.
À partir du tenseur d'impulsion-énergie

- render (15) 18.jpg (1.68 Kio) Vu 17479 fois
,on peut calculer la courbure de l'espace-temps

- render (95).jpg (1.89 Kio) Vu 17479 fois
en utilisant l'équation d'Einstein :

- render (96).jpg (8.04 Kio) Vu 17479 fois
Où R est le scalaire de Ricci, qui est la trace du tenseur de Ricci

- render (95).jpg (1.89 Kio) Vu 17479 fois

- render (30) 33.jpg (1.43 Kio) Vu 17479 fois
est la constante cosmologique, et G est la constante gravitationnelle.
Le calcul de la courbure de l'espace-temps à partir du tenseur d'impulsion-énergie est assez complexe, et nécessite l'utilisation de techniques avancées de calcul tensoriel. Nous n'allons pas entrer dans les détails ici, mais nous allons simplement donner le résultat final. On obtient :

- render (99).jpg (36.93 Kio) Vu 17479 fois
Les autres composantes du tenseur de Ricci sont nulles.
On peut vérifier que le tenseur de Ricci est trace-nul, c'est-à-dire que sa trace est égale à zéro :

- render (100).jpg (4.07 Kio) Vu 17468 fois
Ce qui implique que le scalaire de Ricci est nul : Ce qui implique que le scalaire de Ricci est nul :

- render 101.jpg (2.18 Kio) Vu 17468 fois
On peut aussi vérifier que le tenseur de Ricci satisfait l'équation d'Einstein sans constante cosmologique

- render 104.jpg (1.43 Kio) Vu 17468 fois
:

- render 102.jpg (3.34 Kio) Vu 17468 fois
Où

- render (95).jpg (1.89 Kio) Vu 17468 fois
est le tenseur de Ricci décadimensionnel, qui mesure la courbure de l'espace-temps décadimensionnel, R est le scalaire de Ricci décadimensionnel, qui est la trace du tenseur de Ricci décadimensionnel,

- render 105.jpg (1.44 Kio) Vu 17468 fois
est le tenseur métrique décadimensionnel, qui définit les distances et les angles dans l'espace-temps décadimensionnel, G est la constante gravitationnelle décadimensionnelle qui relie la force de gravité aux propriétés de la matière et de l'énergie et c est la vitesse de la lumière.
L'équation d'Einstein décadimensionnelle exprime le fait que la courbure de l'espace-temps décadimensionnel est proportionnelle au tenseur d'impulsion-énergie décadimensionnel. Autrement dit, la masse et l'énergie décadimensionnelles déforment l'espace-temps décadimensionnel, et l'espace-temps décadimensionnel influe sur le mouvement de la masse et de l'énergie décadimensionnelles. C'est ainsi que se manifeste la gravitation dans la relativité générale décadimensionnelle.
Revenons au XOODINAA GIIUULOO, c'est techniquement une couche interne de la XOODINAA (revêtement). Les ondes scalaires sont des ondes qui ne se propagent pas dans l'espace tridimensionnel, mais dans les dimensions supérieures. Elles ont la propriété de pouvoir interagir avec les axes orientés des IBOZOO UU, et de pouvoir les inverser.
Pour comprendre comment les ondes scalaires sont générées à partir des ondes électromagnétiques, il faut considérer le tenseur d'impulsion-énergie décadimensionnel du champ électromagnétique. Ce tenseur d'impulsion-énergie décadimensionnel se construit à partir du tenseur d'impulsion-énergie quadridimensionnel du champ électromagnétique, en ajoutant six dimensions supplémentaires. On obtient alors :

- render 105 106.jpg (5.18 Kio) Vu 17468 fois
Où

- render (15) 18.jpg (1.68 Kio) Vu 17468 fois
est le tenseur d'impulsion-énergie quadridimensionnel du champ électromagnétique.
Ce tenseur d'impulsion-énergie décadimensionnel a une structure particulière: il est diagonal et il a des éléments nuls dans les dimensions supérieures. Cela signifie que le champ électromagnétique n'a pas de flux d'énergie ni de flux de quantité de mouvement dans les dimensions supérieures. Autrement dit, le champ électromagnétique est confiné dans l'espace tridimensionnel.
Le XOODINAA GIIUULOO a pour fonction de modifier le tenseur d'impulsion-énergie décadimensionnel du champ électromagnétique, en lui donnant des éléments non nuls dans les dimensions supérieures. Cela revient à créer un flux d'énergie et un flux de quantité de mouvement dans les dimensions supérieures. Autrement dit, le XOODINAA GIIUULOO transforme le champ électromagnétique en un champ scalaire.
Le XOODINAA GIIUULOO réalise cette transformation en utilisant un principe simple : il applique une rotation au tenseur d'impulsion-énergie décadimensionnel du champ électromagnétique. Une rotation est une opération qui change l'orientation d'un objet sans changer sa forme ni sa taille. Une rotation peut être représentée par une matrice carrée à dix lignes et dix colonnes, dont les éléments sont des nombres réels ou complexes. Cette matrice est appelée la matrice de rotation. Elle se note

- render 107.jpg (1.94 Kio) Vu 17468 fois
, où M et N sont des indices qui varient de 0 à 9.
La matrice de rotation a plusieurs propriétés intéressantes. Tout d'abord, elle est orthogonale, c'est-à-dire qu'elle vérifie

- render 108.jpg (6.21 Kio) Vu 17468 fois
Re: LES MESSAGES DE IUUDII 512
Posté : 11 janv. 2024, 20:01
par Marc
Où

- render 109.jpg (1.98 Kio) Vu 17462 fois
est le symbole de Kronecker décadimensionnel, qui est égal à 1 si M=P, et à 0 sinon.
Ensuite, elle conserve le tenseur métrique décadimensionnel, c'est-à-dire qu'elle vérifie :

- render 110.jpg (5.04 Kio) Vu 17462 fois
Où

- render 111.jpg (2 Kio) Vu 17462 fois
est le tenseur métrique décadimensionnel.
Enfin, elle conserve le tenseur de courbure de Riemann décadimensionnel, c'est-à-dire qu'elle vérifie

- render 112.jpg (6.51 Kio) Vu 17462 fois
Où

- render 113.jpg (2.31 Kio) Vu 17462 fois
est le tenseur de courbure de Riemann décadimensionnel, qui mesure la courbure de l'espace-temps décadimensionnel.
La matrice de rotation permet de modifier le tenseur d'impulsion-énergie décadimensionnel du champ électromagnétique, en lui appliquant la formule suivante :

- render 114.jpg (4.86 Kio) Vu 17462 fois
Où

- render 115.jpg (1.86 Kio) Vu 17462 fois
est le tenseur d'impulsion-énergie décadimensionnel transformé, et

- render 116.jpg (1.83 Kio) Vu 17462 fois
est le tenseur d'impulsion-énergie décadimensionnel initial.
Cette formule exprime le fait que la matrice de rotation change l'orientation du tenseur d'impulsion-énergie décadimensionnel du champ électromagnétique, sans changer sa forme ni sa taille. En particulier, la matrice de rotation conserve la trace du tenseur d'impulsion-énergie décadimensionnel du champ électromagnétique, qui est égale à zéro :

- render 117.jpg (5.73 Kio) Vu 17462 fois
Le XOODINAA GIIUULOO choisit la matrice de rotation de façon à donner des éléments non nuls au tenseur d'impulsion-énergie décadimensionnel transformé dans les dimensions supérieures. Cela revient à créer un flux d'énergie et un flux de quantité de mouvement dans les dimensions supérieures. En d'autres termes, le XOODINAA GIIUULOO transforme le champ électromagnétique en un champ scalaire.
Le XOODINAA GIIUULOO peut contrôler la fréquence, la phase et l'amplitude des ondes scalaires produites, en modifiant les paramètres de la matrice de rotation. Il peut aussi sélectionner les axes orientés des IBOZOO UU à inverser, en fonction du type d'effet désiré. Par exemple, pour créer un pli dans l'espace-temps entre deux points A et B, il faut inverser les axes A4 et A5 des IBOZOO UU situés sur le chemin normal entre A et B.
Le XOODINAA GIIUULOO envoie les ondes scalaires au résonateur harmonique IBOZOOAIDAA proprement dit, qui les amplifie et les synchronise avec les variations angulaire des OXOOIAE d'IBOZOO UU d'une fréquence sélectionnée.
Le résonateur harmonique crée alors un champ électromagnétique oscillant à la même fréquence que les ondes scalaires. Ce champ électromagnétique renforce l'effet des ondes scalaires sur les axes orientés des IBOZOO UU, et permet d'obtenir une inversion plus efficace et plus stable.
C'est ainsi que le IBOZOOAIDAA permet de voyager dans l'espace-temps, en inversant les axes orientés des IBOZOO UU. Il permet de modifier la structure de l'espace-temps, et de créer des plis qui raccourcissent les distances entre deux points. La distance entre 2 points du WAAM est franchie en transitant par UWAAM (hyperespace ou cosmos jumeau) dans lequel la valeur de la vitesse de la lumière est plus élevée et les distances sont plus courtes. Ce dispositif permet aussi de modifier les propriétés physiques des objets qui sont constitués par les IBOZOO UU, comme la masse, la charge ou la couleur. Le IBOZOOAIDAA est une technologie très avancée, qui repose sur une connaissance profonde de la nature de la réalité du WAAMWAAM (multivers).
#### Conclusion :
Dans ce document, nous avons présenté la théorie des IBOZOO UU avec un formalisme scientifique compatible avec les hypothèses cosmologiques contemporaines et une annexe sur les fondements du dispositif IBOZOOAIDAA (une application possible de la théorie des IBOZOO UU avec des conséquences majeures sur le voyage spatial). Nous espérons que ce document vous permettra de mieux comprendre cette théorie fascinante qui offre une approche élégante et inédite du WAAMWAAM et ouvre la voie à des possibilités extraordinaires de voyage dans l'espace-temps.
Note finale )+( :
Cette annexe IBOZOOAIDAA correspond à la rubrique n°45 de l'mage 11 de la section schématisée de la XOODINAA sur le document UMMO classé D69-3 de 1968. Cette rubrique n°45 fut à l'époque censurée par nos soins (comme il est mentionné dans la rubrique n°52)
-La rubrique n°54 (censurée) s'intitule : UUOOYIIAAE (source d'énergie)
-La rubrique n°55 (censurée ) s'intitule : UONEEIAAEE : (système de refroidissement)
=> Voir : Transdisciplinarité Physique-Médecine viewtopic.php?p=20579#p20579
Retour à l’accueil
Re: LES MESSAGES DE IUUDII 512
Posté : 12 janv. 2024, 13:45
par Marc
Introduction, IUUDII 512,2023,
ASTROPHYSIQUE +
Le Big Bang est une notion erronée.
Tout approfondissement d'une discipline scientifique nécessite une approche empirique des phénomènes et un affinement progressif des concepts associés aux caractéristiques et propriétés du domaine étudié. Puis, émergent des solutions théoriques inédites, tôt ou tard. Le cheminement de la recherche aboutit à de nouvelles hypothèses, et bien que les impasses potentielles soient nombreuses, l'intelligence collective des EESEOEMII, dans un effort maintenu sur plusieurs générations parvient enfin à mieux comprendre le WAAMWAAM.
Tout d'abord, un WAAM n'existe pas sans son UWAAM jumeau. Il existe une "infinité" de paires d'univers WAAMUWAAM. En fait, cette quantité de WAAMUWAAM, n'est ni finie, ni infinie, c'est une "fluctuation illimitée".
L'ère de Planck est une base cosmologique solide dans votre approche.
Cependant, la chronologie selon laquelle cette ère dure 10−43 seconde après le Big Bang est une affirmation dénuée de cohérence, idem pour l'hypothèse de l'inflation, même si cette erreur, tout comme celle de la notion de Big Bang, repose sur la description maladroite de phénomènes mal compris par manque de données.
L'univers n'est pas né d'une explosion et une paire WAAMUWAAM n'est pas le résultat d'une double implosion-explosion.
L'origine, WAAMIAAYO ou le "moment" de la création du WAAM, n'est pas autre chose qu'un transfert de masse par inversion de signe :
=> C'est la résultante de l'effondrement gravitationnel d'un AAOOYIAAAE (ÉTOILE de DENSITÉ SUPÉRIEURE).
Il n'existe aucune singularité. Les singularités sont seulement les phénomènes que vous ne parvenez pas à expliquer. Il n'existe pas non plus de matière ou d'énergie "noire". Nous continuerons néanmoins d'utiliser le terme de "singularité" dans la suite des documents, mais uniquement par souci didactique.
Et il n'existe pas de lois de la physique en dehors des lois de la physique.
Un WAAMIAAYO n'a rien d'instantané, ce processus peut s'étaler sur des millions ou des milliards de quantités de temps différentes, les UIWIO (quantas temporels) connaissent des phases très complexes de stabilisation et de déstabilisation dues au déploiement des OXOOIAE d'IBOZOO UU. Chaque ère de l'univers primordial a sa propre temporalité en plus ses propres temporalités fluctuantes. Il n'est pas pertinent de cumuler des ères pour calculer l'âge de l'univers. C'est équivalent à prendre des siècles pour des heures, des années pour des minutes ou des millénaires pour des attosecondes.
Le résultat d'une telle addition est profondément illogique et aberrant : pour compter des années ou des secondes, celles-ci devraient au moins "exister".
Il est donc impossible de mesurer un début d'expansion pour un WAAM sans accéder au WAAM de dimension supérieure et évaluer "la vitesse du transfert" depuis ce cadre. Et ce cadre supérieur penta-dimensionnel est le WAAM BUUAWAAE BIIAAEEIII, un WAAM "extrême", non-adjacent.
Les liens du WAAM BUUAWAAE BIIAAEEIII avec les WAAMUWAAM sont UDUUO AA INNUO IEEDOO (gravito-asymétriques). D'une amplitude allant de la génération de WAAMUWAAM, à la finesse gravito-quantique de ses milliards de "cellules cosmiques" BUUAWAE BIIAAEEIII qui interagissent avec le BAAYIODUU des AYUUBAAYII (réseau d’êtres biologiques vivants).
Précisions :
-les "cellules cosmiques" BUUAWAE BIIAAEEIII sont des structures internes dans le WAAM BUUAWAAE BIIAAEEIII qui préexistent sous forme semi-statique avant même qu'un OYAA ne soit formé dans le WAAM.
-Il existe différents types de structures internes dans le WAAM BUUAWAAE BIIAAEEIII : en effet, "BUUAWAE BIIAAEEIII" est dérivé d'une collection terminologique qui ne s'applique pas seulement à l'esprit communautaire d'une civilisation planétaire d'OEMII. En résumé : votre système solaire entier dispose d'une superstructure nommée BUUOYIAA AABIIAAEEIII accumulant l'information de tout le système dans le WAAM BUUAWAAE BIIAAEEIII.
Les WAAMUWAAM ne naissent pas "en même temps" que le WAAM BUUAWAAE BIIAAEEIII mais plus précisément à partir d'un "espace de temps" généré à l'instant initial du WAAM BUUAWAAE BIIAAEEIII. Et cet espace de temps n'est pas une quantité mesurable pour des OEMII qui ne peuvent pas accéder au WAAM BUUAWAAE BIIAAEEIII. Une évolution neuro-corticale spécifique est requise pour que cet accès soit possible (sans technologie) : un IBOAAYANUUIO BIAEEIII (saut quantique du UELIBUUAW OAAE au sein de BUUAWAEE BIIAEEIII).
Pour plus de détails sur cette caractéristique neuro-corticale, se reporter à la page : viewtopic.php?p=20588#p20588
L'évaluation de "l'écoulement" d'un AAOAWOOIIANIOUUAAM (transfert de masse par -double inversion de signe- de dimension COSMIQUE) depuis un univers penta-dimensionnel et créant un WAAMUWAAM relève de l'OOLGA LEIYOO WAAM (science des effets frontières), inconnu sur OYAGAA au vingt-et-unième siècle. Cependant, vous utilisez le terme "horizon cosmologique" qui est à considérer comme un point de départ pertinent.
Pour résumer : le WAAM BUAAWAEE BIAAEIII est un univers (de masse "infinie") avec des lois physiques plus complexes que le WAAM tridimensionnel, et dans lequel sont localisés un secteur positif et un secteur négatif. C'est WAAM BUAAWAEE BIAAEIII la source cosmo-énergétique qui génère des WAAMUWAAM. Les OXOOIAEAE d'IBOZOO UU existent donc préalablement à la naissance du WAAM qu'ils paramétreront.
Un AAOOYIAAAE (étoile de dimension supérieure) n'est comparable en rien avec un astre de notre WAAM. Mais c'est la seule option sémantique à notre disposition pour décrire le phénomène. Son effondrement gravitationnel est également la seule option sémantique -encore moins efficiente- car ce n'est aucunement la conséquence de processus physiques impliquant quelconque effondrement. C'est une phénoménologie engageant collectivement l'IGIOI UMYAE (libre-arbitre) des BUUAWA qui s'agrègeront ensuite en UELIBUUAW OAAE au sein de myriades de BUAAWAEE BIAAEIII.
Ce n'est pas un effondrement mais une densification informationnelle qui génère un LEIYOO WAAM dans le WAAM BUAAWAEE BIAAEIII et qui projette un WAAMUWAAM.
Par conséquent, il n'y a pas de "Big Bang" mais un LEIYOO WAAM densifié en XOODI WAAM (structure-frontière qui rend possible le transfert des IBOZOO UU). Ces IBOZOO UU sont alors alignés et corrélés en séries d'axes, de sorte à ce qu'un WAAMUWAAM se forme.
L'ère de Planck commence donc en réalité à partir de laps de temps impliquant une distribution de quantités de valeurs UIWIO non-linéaires après le WAAMIAAYOAE (structuration complète des coordonnées émises par l'AAOAWOOIIANIOUUAAM), en effet :
-Cette "vitesse" (nous simplifions) d'expansion du WAAM dans ses premiers instants est dépendante de la structuration de l'AAOAWOOIIANIOUUAAM de l'AAOOYIAAAE.
-Les calculs impliquent de considérer que l'UIWIUTAA (orientation du temps) du WAAM BUAAWAEE BIAAEIII suit un déroulement depuis un temps (futur accompli) et au sein d'un espace dans lequel toutes les potentialités ont été finalisées alors que le WAAMUWAAM déroulera depuis sa création jusqu'à la meilleure optimisation de ses potentialités (déjà accomplies dans WAAM BUAAWAEE BIAAEIII). Au sein de la paire WAAMUWAAM existe aussi un UIWIUTAA pour chaque versant, mais la différence réductionnelle remarquable est que les UIWIUTAA sont inversés sans qu'aucun ne déroule du futur vers le présent.
Chaque versant WAAM et UWAAM suit donc une entropie astrophysique évolutive (distincte) mais dans des directions temporelles inversées (ce qui est la base de la possibilité des déplacements des OAWOOLEA UEWA OEMM (vaisseaux spatiaux) dans l'espace-temps.
Notez bien :
-l'Univers s'étend à raison de 67,4 kilomètres par seconde par mégaparsec parce que l'AAOAWOOIIANIOUUAAM de l'AAOOYIAAAE dans WAAM BUUAWAAE BIIAAEEIII est toujours en cours.
-WAAM et UWAAM sont créés et annihilés en "même temps" puisque c'est une paire WAAMUWAAM, pourtant, le WAAM et l'UWAAM n'ont pas le même "âge"
Re: LES MESSAGES DE IUUDII 512
Posté : 12 janv. 2024, 13:51
par Marc
AOIO 343, 2019 :
OAWOOIIANIOAAM (transfert de masse par inversion du signe ou "trou noir")
Notre paradigme cosmologique décrit une catégorie de phénomènes occurant dans le WAAMWAAM (pluricosmos) désignés sous l'appellation générique LEIYOO WAAM (effet frontière) et se manifestant dans un XOODI WAAM local (structure-frontière qui rend possible le transfert des IBOZOO UU).
Dans le contexte cosmophysique il existe plusieurs types de XOOIDI WAAM locaux ; parmi ceux-ci le OAWOOIIANIOAAM (transfert de masse par inversion du signe) et le OYANEE (singularité centrale d'un noyau actif de galaxie).
Le OAWOOIIANIOAAM est un XOODI WAAM local consécutif à l'effondrement gravitationnel d'un OIIANIOAAM UUUU (étoile à neutron). La totalité de la masse de l'étoile effondrée est ainsi inversée si le potentiel magnétique est suffisamment intense. Dans ce cas, une structure torique subsiste parfois lorsque la quantité de matière concernée vient à manquer pour faire pression.
Lorsque l'inversion n'est pas absolue ou implique un champ gravitationnel annexe, le phénomène est classé OAWOOIIANIOAAMAE (structuration d'un artefact singulier). Dans ce deuxième cas (également très courant) le OAWOOIIANIOAAMAE est en orbite avec un compagnon (comme l'exemple catalogué GRS 1915+105 par vos astronomes).
Un OIIANIOAAM UUUU déstabilisé par l'apport de matière d'une étoile compagne est tout ou partie transféré dans le UWAAM (univers jumeau) avant que sa masse n'atteigne le seuil géométrique critique où le rayon de Schwarzschild Rs "rattrape" le rayon de l'étoile Rn (car Rs croît plus vite que Rn à mesure que la masse augmente). Lorsque Rs = Rn c'est le champ gravitationnel annexe qui alimente le OAWOOIIANIOAAM jusqu'au stade OAWOOIIANIOAAMAEE (évaporation complète du phénomène).
Le OAWOOIIANIOAAM est un phénomène IIAIOOYAUAE (stochasto-apodictique) dans le WAAM, conséquence de l'évolution stellaire et interprété comme trou noir neutronique ou stellaire par les scientifiques terrestres. C'est un OAWOOLEIBOZOO (inversion du référentiel tridimensionnel de l'ensemble des particules subatomiques concernées) qui survient naturellement dans le WAAM. L'étude poussée du OAWOOLEIIDAA (moment de l'inversion corpusculaire) et de sa réversibilité a généré par bio-inspiration le modèle de déplacement interstellaire de notre civilisation de UMMO.
En ce qui concerne les OYANEE tel l'objet au centre de M87, c'est un phénomène astrophysique de plus grande ampleur impliqué dans le UOAAEXEEBEIIAYOOYAAM (formation et évolution des systèmes galactiques). Un AYOOYAAM (galaxie) de masse positive est interrelationnellement confiné en sa lacune de masse négative. La fluctuation des métriques conjointes WAAM et UWAAM induit alors des contraintes de confinement produisant des ondes de choc de densité convergente rassemblant par conservation du flux magnétique toutes les lignes de champ pour former un gigantesque OYIIA (astre) hyper-magnétisé au centre : le OYIIAYOOYAAM (soleil galactique central).
La particularité du OYIIAYOOYAAM est son OYANEE (noyau singulier dont le rayon de Schwarzschild demeure inférieur au rayon physique de l'astre).
Le OYANEE engendre en sa singularité un UXGIIGIIAAM WAAM (univers réel) par émission "spontanée" de coordonnées exotiques corrélées dans un changement d'état UIWIOE (densité temporelle) et UIWIOAE (direction ou sens du temps) d'une collection de OXOOIAEAE (chaines annulaires structurées d'IBOOZOO UU). Un "second" rayon de Schwarzschild imaginaire et négatif est généré correspondant à la flèche du temps inversée dans l'UXGIIGIIAAM WAAM élaboré.
-Rs=UIWIUTAAAE (structuration de la flèche du temps).
Dans le WAAM, l'ensemble des déclinaisons phénoménologiques OAWOOIIANIOAAM délocalise systématiquement la matière vers le UWAAM (secteur négatif de notre univers) alors que chaque OYANEE transfère la matière vers des fréquences UUWAAM sui generis (versants négatifs de WAAM distincts pour chaque OYANEE). Les milliards d'OYIIAYOOYAAM du WAAM hébergent invariablement un XOODI WAAM local : le OYANEE qui connecte systématiquement vers un UUWAAM lui-même apparié à son propre WAAM (versant positif).
WAAM AYUBAAEWADOXOIAAM WAAM (le multivers est un immense système de communication).
ORIAAU 548, 2021,
Modélisation du OAWOO
Dans le cadre de notre AADOAUGOO UWUUA IAS (logique formelle tétravalente), la modélisation de l'IBOZOO UU (abstraction élémentaire cosmique) est concrétisée par la conceptualisation mathématique du OAWOO (orientation dimensionnelle, vecteur, ou hyperplan de référence) et du AIOOYA IOAWOO (angle réel).
Le OAWOO noté U ( k , V ) est un UXGIGIIAAM WAAM (espace réel) qui paramètre tous les sous-espaces linéaires à k dimensions de l'espace vectoriel V à n dimensions et qui n'existe pas sans connexion à un autre OAWOO avec lequel il forme un angle élémentaire que nous appelons IOAWOO. Par exemple, le OAWOO U (1, V ) est l'UXGIGIIAAM des OXOOIAE (chaines annulaires) passant par le WAAMIAAYO (origine) en V, il est donc "identique" (corrélé) à l'OAWOO UU projectif d'une dimension inférieure à V.
Les distributions de OAWOO peuvent être réassemblées sous une forme qui explique la réalité physique : les IOAWOO, des "angles" corrélant au minimum 2 OAWOO ou paramètres dimensionnels de n IBOZOO UU interagissant.
De la même façon que IAS IBOZOO UU AIOOYEDOO (un IBOZOO seul n'existe pas), IAS OAWOO UU AIOOYEDOO (un OAWOO seul n'existe pas).
OAWOO UU IEN AIOOYA : les OAWOO UU s'appréhendent au minimum par paire, c'est cette interaction qui révèle un AIOOYA IOAWOO.
Si vous comprenez la nature du OAWOO, vous pouvez concevoir de nombreuses directions logiques différentes. Essentiel en WUAWAAM (mathématiques de l’espace), le OAWOO UU n'est pas un objet "géométrique" exact, comme décrivent les mathématiciens terriens mais plutôt un "groupe" d'entre eux.
Pour avoir un sens pour un seul OAWOO (en réalité cela est impossible), considérons deux nombres, 1 et 3. Le 3 indique que nous sommes dans un espace tridimensionnel. Le 1 signifie que nous allons penser à des lignes unidimensionnelles dans cet espace (en réalité de telles lignes n'existent pas).
Dans cet espace tridimensionnel, il y a trois axes - x , y et z - qui se croisent tous à un carrefour, le WAAMIAAYO. Maintenant, imaginez une ligne qui traverse le WAAMIAAYO, puis essayez d'imaginer toutes les lignes qui pourraient passer par le WAAMIAAYO, chacune avec sa propre trajectoire unique.
Ensuite, imaginez positionner une sphère de manière à ce qu'elle soit centrée autour du WAAMIAAYO. La plupart de ces lignes couperont cette sphère deux fois, dans les hémisphères nord et sud (à l'exception de celles qui passent par l'équateur). Cela rend les deux hémisphères largement redondants - ils portent les mêmes informations sur les lignes - nous pouvons donc faire abstraction de celui du sud. L'hémisphère nord restant est la partie «positive» du OAWOO formé par des lignes unidimensionnelles dans un espace tridimensionnel U (1,3).
Cela signifie que si vous connaissez les coordonnées d'un IBOO (point) de l'hémisphère nord, vous savez tout sur la ligne unidimensionnelle traversant le WAAMIAAYO qui passe par ce IBOO. Le OAWOO est un exemple de ce que les mathématiciens terrestres appellent un espace de modules, ce qui signifie qu'il s'agit d'un objet pseudo-géométrique unique qui sert de moyen concis pour en suivre une infinité d'autres.
Avec les nombres 4 et 10, nous penserions plutôt à des OAWOO à quatre dimensions passant par le WAAMIAAYO dans un espace à 10 dimensions et le OAWOO UU U (4,10), serait la forme dans laquelle chaque IBOO représente l'un de ces plans à quatre dimensions. Vous pouvez construire une infinité de OAWOO différents en commençant par des paires distinctes de nombres entiers. Vous avez un objet compliqué qui est difficile à comprendre mais vous pouvez le diviser en morceaux pour un meilleur aperçu. Pour comprendre comment les IOAWOO se fractionnent en morceaux qui n'existent pas, rappelez-vous que chaque IBOO virtuel du OAWOO encode les propriétés d'une ligne ou d'un plan multidimensionnel passant par le WAAMIAAYO. Ces plans sont définis par des vecteurs qui peuvent être écrits sous forme de tableaux de nombres appelés matrices.
Les nombres dans la matrice servent de coordonnées pour le IBOO dans le OAWOO qui code le OXOOIAE. Le OAWOO lui-même contient une infinité de IBOO, qui ne peuvent pas être comptés de manière discrète et finie, mais il est possible d'extraire des données supplémentaires des matrices qui pourront être calculées.
De nombreuses matrices ont une mesure appelée "déterminant", qui est une valeur unique obtenue à l'aide des nombres de la matrice. Elles ont également des «sous-déterminants», qui sont calculés sur la base d'un sous-ensemble des valeurs de la matrice. Une matrice 1 × 3 a trois sous-déterminants.
La signification de ces sous-déterminants réside dans leurs signes, qui peuvent être positifs, négatifs ou ni l'un ni l'autre (si le sous-déterminant est zéro). Avec le OAWOO positif, les options sont encore plus limitées : les sous-déterminants ne peuvent prendre que des valeurs positives ou nulles.
Cela transforme quelque chose d'infini et d'indénombrable en quelque chose de discret et de possible à trier : bien qu'il existe une infinité de matrices 1 × 3 différentes, leurs trois sous-déterminants ne peuvent avoir que huit modèles de signes différents. Les IBOO sont ensuite triés dans différents NIIOAA UU, ou «cellules», en fonction de leur motif de signe. Vous pouvez considérer ces NIIOAA UU comme les outils mathématiques ou les pièces du puzzle qui structurent un OAWOO et définissent les IOAWOO. Les NIIOAA UU ne sont pas évidents à appréhender lorsque vous observez pour la première fois leur forme générale mais ils deviennent apparents lorsque vous triez les IBOO en fonction de leurs motifs de signe. Tous les IBOO avec un motif de signe donné remplissent la forme d'un seul NIIOAA UU ou d'une pièce de puzzle. Ce processus de tri des IBOO par motifs de signe pour révéler les "formes" des structures gravito-quantiques est fonctionnel pour la partie positive du OAWOO. Les propriétés combinatoires se transmettent ensuite à l'IBOZOO UU topologiquement corrélé via ce processus de transformation mathématique. Cela signifie que les NIIOAA UU du OAWOO servent de "tuiles" substantielles pour les IOAWOO qui sont des excitations collectives d'OXOOIAEAE (chaînes annulaires) émergeant de l'océan IBOZOO UU enchevêtré.
Re: LES MESSAGES DE IUUDII 512
Posté : 12 janv. 2024, 13:57
par Marc
ORIAAU 548, 2020,
OOLGA WAAM TOA UMMO (histoire des sciences cosmologiques sur UMMO)
Notre conception de l'espace est en contradiction essentielle avec le modèle cosmologique terrestre et requiert des bases conceptuelles et mathématiques très différentes des vôtres. Nos WUUAWAAM (mathématiques spatiales) reposent sur la conceptualisation AADOAUGOO UWUUA IAS (logique formelle tétravalente) que nos scientifiques ont optimisé au fil des générations.
L'attraction vers le bas par notre OYAA fut comprise par nos ancêtres avant même le développement des premières AASE (cités). C'est un phénomène qui a suscité une curiosité intense comme en témoignent les OUDEXIONOO (stèles monolithiques utilisées comme support de narration graphique) et les premiers UMMOOEMII tentèrent de le comprendre et de l'intégrer à leurs représentations empirico-magiques du WAAM (cosmos). En parallèle, le mouvement des planètes dans le ciel suscitait aussi beaucoup de curiosité et a conduit à de nombreuses extrapolations.
Cette approche a permis à nos prédécesseurs de synthétiser une conceptualisation mécanistique du WAAM approximativement comparable à votre révolution newtonienne depuis l'époque protohistorique précédent la première ère officielle sur UMMO.
En outre, le climat frais et condensé des régions habitées de notre OYAA (planète) a naturellement influencé la méthodologie ingénierique de ces OEMII porteurs de l’étincelle civilisatrice. L'observation minutieuse et religieuse des IGOONOOI (ouragans) est alors très ancrée dans ces protocultures et leur permet de distinguer la force motrice verticale descendante, la force motrice verticale ascendante et la force rotative centrifuge qu'ils catégorisent en divinités éoliennes. Les notions de pesanteur et de gravitation sont également intégrées au corpus ontologico-spirituel de l'époque dans un profond désir d'adéquation avec WOA (Dieu ou principe générateur). Nos ancêtres pressentent que le AIIOODI (véritable essence de l'existence dans le WAAM) est très différent de la perception d'existence dans le BUAUAA BAAIOO (esprit). Ils déduisent avec précision le WUUAXEE (calcul de l'orbite) de UMMO dès l'an 3326 de notre première ère et postulent que la matière n'est ni particule ni onde et à la fois particule et onde. Par conséquent la géométrie ne sera jamais perçue comme fondamentale ou essentielle sur UMMO mais plutôt comme un phénomène émergent. Et la notion de EIDOAYUEE (principe d'émergence) apparaît donc aussi dès cette époque.
Notez bien que c'est totalement différent des développements techno-scientifiques et spirituels de la quasi-totalité de vos civilisations sur OYAGAA puisque la manière géométrique de comprendre le monde est devenu le courant PRINCIPAL dans vos conceptions physiques et religieuses (vos nombreuses prouesses architecturales en attestent).
La compréhension géométrique peut-être profitable pour le BIAEIIISAO (contemplation) esthético-artistique mais elle est inutilisable comme base pour comprendre les problèmes physiques fondamentaux. Ainsi le fondement de l'approche géométrique, la variété -n'existe tout simplement pas dans le WAAM- car la variété contient des IBOO (points) avec une petite séparation arbitraire. Ce qui suggère que la géométrie est un phénomène émergent qui n'apparaît qu'à de longues distances.
En outre vos chercheurs sont incapables de répondre à l'origine de la géométrie apparente. Pire : ils déploient des efforts colossaux pour chercher cette origine au cœur de la matière -autant dire dans la géométrie elle-même- Un raisonnement AIOOIEDOO (absurde) qui continue d'entraver votre compréhension des phénomènes cosmophysiques et cristallisé par l'impossible "réunification" entre la relativité et la mécanique quantique.
Sur UMMO, la relation énergie-fréquence E = hf impliquant que matière = information est comprise en l'an 4724 de la première ère. En 820 de la seconde ère, nos scientifiques comprennent enfin que toutes les particules élémentaires sont émergentes et peuvent être unies en utilisant le modèle IBOZOO UU. Ainsi, le AYUU OXOOIAEAE (réseau d'intrication à long terme) est une nouvelle option pour décrire le WAAM : le UXGIGIIAAMMIE (non-espace artificiel ou vide) est un état intriqué à longue distance. C'est le schéma de l'intrication des OXOOIAEAE (chaînes annulaires orientées) d'IBOZOO UU liés dans le UXGIGIIAAMMIE qui détermine le contenu et les structures des particules élémentaires observées dans un UXGIGIIAAM WAAM (espace réel).
Le modèle IBOZOO UU unifie l'information et la matière, ou autrement dit : la compréhension théorique de l’information de corrélation IOAWOO des OAWOO (caractéristiques dimensionnelles) des IBOZOO UU DUU OII (interconnectés) et le concept d'enchevêtrement en OXOOIAE (chaînes annulaires) qui est une pure corrélation quantique sans équivalent classique. Dans la théorie des OXOOIAEE (élaboration des chaînes annulaires d'IBOZOO UU), les bosons de jauge sont des vagues de fluctuations collectives des chaînes, et un fermion correspond à une extrémité du OXOOIAE. Les concepts OXOOIAE (chaîne annulaire), OXOOIAEE (élaboration), OXOOIAEAE (enchevêtrement/structuration des chaînes) et OXOOIAEAEE (initialisation) sont si intimement associés qu'ils sont grammaticalement connexes et phonétiquement apparentés dans notre langue.
En d'autres termes, la nouvelle vision du WAAM au début de la seconde ère suggère que les particules élémentaires (les particules de force bosonique et les particules de matière fermionique) proviennent toutes d'informations quantiques d'IBOZOO UU liés en chaînes annulaires : ce sont les excitations collectives d'une contexture/océan IBOZOO UU intriqué qui correspond à notre WAAM réel (espace). Toutes les particules élémentaires de force bosonique et les particules de matière fermionique peuvent apparaître comme des excitations collectives dans un tel océan IBOZOO UU. En d'autres termes, toutes les particules élémentaires peuvent être unies par des informations quantiques OXOOIAEAE (IBOZOO UU corrélés en chaînes annulaires intriquées à long terme).
Partir d'une seule structure pour obtenir toutes les propriétés de l'espace-temps est indispensable. L'abstraction élémentaire est donc le IBOZOO UU qui est également l'abstraction la plus fondamentale de l'information quantique.
Puisque notre WAAM est un support dynamique, le choix le plus simple est de supposer que le WAAM est une contexture fluide d'IBOZOO UU. Ensuite, la matière, c'est-à-dire les particules élémentaires, sont simplement les vagues, flux, bulles, dépressions et autres défauts de l'océan IBOZOO UU.
Pour comprendre matière = information, la clé fut d'identifier la structure microscopique de la contexture IBOZOO UU qui peut être considéré comme un UXGIGIIAAMMIE (vide artificiel). La structure microscopique du UXGIGIIAAMMIE peut non seulement transporter des ondes gravitationnelles et des ondes électromagnétiques mais aussi véhiculer onde électronique, onde quark, onde gluon, et les ondes qui correspondent à toutes les particules élémentaires.
La théorie terrienne OOLGA GOO UUDAA (physique de la matière condensée) ne considère principalement que deux types d'états à plusieurs corps : les états de produit (comme dans diverses théories du champ moyen) et les états obtenus en remplissant des orbitales (comme dans la théorie des liquides de Fermi). En réalité ces deux types d'états n'incluent pas les états d'ordre général les plus généraux. Sur UMMO, l'intensification des recherches sur les états quantiques fractionnaires durant la seconde ère permit de bien comprendre que les OXOOIAE sont des systèmes à plusieurs corps fortement enchevêtrés. Lorsque le fort enchevêtrement devient une intrication à longue distance, les systèmes possèdent un nouveau type d'ordre : l'ordre topologique. Ils représentent de nouveaux états de la matière : les excitations d'OXOOIAEAE, des chaînes annulaires d'IBOZOO UU topologiquement corrélées de sorte que toutes les particules élémentaires (les particules de force bosonique et les particules de matière fermionique) peuvent émerger de l'océan IBOZOO UU enchevêtré.
Les nouvelles ondes et les statistiques émergentes étaient si profondes qu'elles ont considérablement changé notre compréhension du WAAM. La fluctuation des AYUU (réseaux) d'OXOOIAEAE (chaînes orientées) génère des ondes électromagnétiques (ou lumière). Les extrémités des OXOOIAEAE donnent naissance à des électrons. Nos scientifiques ont donc définitivement abandonné la proposition incorrecte selon laquelle les propriétés d'un matériau doivent être déterminées par les composants qui le forment.
Ils ont envisagé enfin les électrons et les ondes électroniques comme des AYUUAE (mouvements ou modes collectifs) d'OXOOIAEAE d'IBOZOO UU liés entre eux et non comme des particules fondamentales.
Ils ont constaté que l'ordre topologique (ou plus généralement ordre quantique) et l'intrication à longue distance potentialisaient de nombreuses nouvelles phases quantiques en tant que phénomène naturel qui peut se produire dans le WAAM.
Cet élargissement de notre compréhension des phases quantiques possibles a porté la recherche de la matière quantique à un tout autre niveau. Pour acquérir une connaissance systématique des nouvelles phases quantiques et de l'intrication à longue distance nous avons dû développer conjointement la logique mathématique AADOAUGOO UWUUA IAS qui permet une compréhension globale de l'intrication à longue distance et de la matière quantique topologique.
ORIAAU 548, 2020,
UUOBOAAMAE (objets radios circulaires)
Lorsqu'un AYOOYAAM (galaxie) s'effondre, le plasma intergalactique élimine son gaz dans un processus de balayage par pression dynamique qui neutralise progressivement la mécanique de genèse stellaire. Dans certains cas, la perturbation affecte l'OYIIAYOOYAAM (soleil galactique central hyper-magnétisé). Lorsque son rayon de Schwarzschild recouvre l'OYANEE (noyau singulier), celui-ci entre en résonnance électro-magnéto-gravitationnelle avec l'environnement galactique résiduel. Le OYANEE "absorbe" alors étoiles, gaz et poussières en produisant une gigantesque onde de choc en forme de disque cardioïde que vos scientifiques nomment "odd radio circles". Ce phénomène transitoire UUOBOAAMAE est consécutif de l'évolution galactique et de l'effondrement d'un OYIIAYOOYAAM. Le UUOBOAAMAE se déstructure lorsque le LEIYOO WAAM (effet frontière) se désynchronise, après transfert de l'ensemble des particules (qui constituaient l'environnement galactique résiduel) vers un UUWAAM (versant négatif d'un WAAM parallèle).
https://arxiv.org/pdf/2006.14805.pdf
Retour à l'accueil
Re: LES MESSAGES DE IUUDII 512
Posté : 13 janv. 2024, 15:38
par Marc
AOIO 343, 2017, IUUDII 512, 2023,
Tétravalence :
Nos WUAWAAM (mathématiques de l'espace) sont régies par nos UWUUA IAS (mathématiques tétravalentes).
Le pôle est déterminé par le contexte (il est alors le contexte) ou par sa relation spatio-temporelle au contexte (il est alors toute forme d'incidence en lien avec le contexte). Le contexte est un UXGIGIIAAM WAAM (un espace réel).
Considérons les différentes formulations de la polarité d'un AYUU (réseau) d'IBOZOO UU formant un OXOOIAE (chaîne annulaire) selon sa relation à un contexte UXGIGIIAAM WAAM :
Il est essentiel d'envisager que dans l'absolu, pôle AIOOYAA n'est pas plus "vrai" que le pôle AIOOYEDOO et que ce dernier n'est pas plus "faux" que le premier, c'est le repérage spatiotemporel qui détermine la polarité. Et la polarité n'est pas "véritable" mais approximative par réduction.
En effet, un AYUU (réseau) d'IBOZOO UU est AIOOYAA (réel) dans un UXGIIGIIAM de référence, il devient AIOOYEDDO par la réorientation poly-directive (déterminée) de ses OAWOO, il est AIOOYAAU dans l'intervalle de ces 2 pôle (orientation indéterminée), il est AIOOYAA AMIE dès lors qu'il n'existe plus en tant qu'entité physique dans ce cadre mais dans un autre UXGIGIIAAM.
Ces polarités ne sont en aucun cas à considérer comme des assertions car l'objectif de la Tétravalence n'est pas de déterminer ce qui est vrai, faux, probable ou absent.
L'objectif est d'extraire et de cadrer des solutions réductionnelles. La Tétravalence n'est pas non plus réductionniste, car ce n'est pas un sous-système plus fondamental.
C'est une réduction de tout système, peu importe l'échelle à laquelle nous l'appliquons.
La superposition mathématique des polarités est aussi possible en appliquant un différentiel temporel théorique qui réinvestit chronologiquement le contexte en le réduisant à nouveau.
Ainsi dans le processus que nous avons décrit, AIOOYAAU est l'intervalle pendant lequel le AYUU change de configuration.
A ce stade le AYUU peut :
-continuer la période AIOOYAAU (structuration aléatoire du AYUU, l'écoulement du temps soumet les phénomènes)
-stabiliser une configuration angulaire dans l'UXGIIGIIAM de référence (nouveau pôle AIOOYAA)
-stabiliser une configuration angulaire dans un UXGIIGIIAM adjacent (OAWOOLEIBOZOO), il est alors AIOOYAA AMIE dans le cadre initial.
-s'initialiser (gel phénoménologique global, non-potentialisation)
Selon nos UWUUA IAS, AIOOYAAU est (par définition) potentialisation (structuration) tant qu'il n'est pas interrompu par un évènement.
C'est dans notre exemple la stabilisation d'une nouvelle configuration angulaire dans un UXGIGIIAAM WAAM adjacent qui rétrogradera (relation spatio-temporelle au contexte) la période AIOOYAAU en période AIOOYEDOO (on superpose ici les polarités) ; de plus, la reconfiguration angulaire du AYUU d'IBOOZOO UU correspond à une "matérialisation" AIOOYAA dans un nouveau cadre d'interférence "pendant que" le AYUU "est devenu" AIOOYA AMIE dans le cadre initial (ici le contexte détermine la polarité).
AIOOYAA AMIE n'est pas seulement ce qui existe "extérieurement" ou dans une autre UXGIGIIAAM, il correspond par définition à l'état d'initialisation, de latence événementielle, de non-état, de gel phénoménologique, non-potentialisation du AYUU.
AIOOYAAU est une période d'accumulation (ordonnée ou non) des données provenant des 2 premiers pôle (double flux).
AIOOYEDOO est (selon le repérage spatio-temporel) le processus d'élaboration de
AIOOYAA ou celui de son altération.
Les UWUUA IAS (mathématiques tétravalentes) impliquent en outre d'autres notions de bases dont voici un succinct et partiel aperçu :

- T011o.jpg (43.13 Kio) Vu 17426 fois
Schématisation simplifiée d'un AYUU de OXOOIAE. Le grillage interne reflète une collection de polarités annulaires. Les quatre arcs externes sont les pôles basiques de notre AADOAUGOO UWUUA IAS (logique formelle tétravalente). Nous faisons appel à la géométrie pour expliciter quelques notions, mais aucun grillage ou arc ne représente un système claquemuré ou quantifié.
Cas de UUNEWOOXUUA IEEDOO (observations partiellement manquantes) d'un AYUU d'IBOZOO UU :
Considérons maintenant notre modélisation synthétique dans laquelle on observe uniquement des UUNEWOOXUUA IEEDOO. La structure corrélative du vecteur X sera représentée par le graphe G issu de notre schéma. C'est un morphogramme très simplifié d'un AYUU d'IBOZOO UU enchevêtré. Le quadrillage interne évoque naïvement l'axialité des AYUU et on considère les quatre arcs extérieurs, notés (e1), (e2), (e3), (e4), comme les solutions de base :
-AIOOYAA ➔ OXOOIAE (chaînes annulaires)
-AIOOIEDOO ➔ OXOOIAEE (élaboration)
-AIOOYAU ➔ OXOOIAEAE (enchevêtrement/structuration des chaînes)
-AIOOYAA AMIE ➔ OXOOIAEAEE (initialisation).
Ontologie des UUNEWOOXUUA IEEDOO (observations partiellement manquantes) :
On décrit la nature des observations disponibles. Nous émettons des propositions de polarité pour les différents OXOOIAE en relevant des mesures probabilistes quantiques. Nous supposons que lors de chaque observation, les quatre pôles des différents OXOOIAE sont observés, c.-à-d. que chaque observation sera de la forme

- TT1.jpg (2.01 Kio) Vu 17424 fois
avec {e1), (e2), (e3), (e4)

- TT1 1.jpg (2.01 Kio) Vu 17424 fois
. Concernant l’observation des variables du AYUU, nous supposons qu'elles sont observées par paires adjacentes dans le graphe G. Chacun des sous-espaces vectoriels

- TT2_edited.jpg (1.81 Kio) Vu 17424 fois
observés sera de la forme

- TT3.jpg (4.63 Kio) Vu 17424 fois
avec

- TT4.jpg (1.06 Kio) Vu 17424 fois
et

- TT6.jpg (1.07 Kio) Vu 17424 fois
deux arcs adjacents

- TT7.jpg (2.7 Kio) Vu 17424 fois
et

- TT8.jpg (2.54 Kio) Vu 17424 fois
avec

- TT10.jpg (4.04 Kio) Vu 17424 fois
C'est une schématisation sommaire des données que nous obtiendrions sur des IBOZOO UU évoluant au sein d'une collection de AYUU tétra-logiquement polarisée.
L'objectif est d’étudier différents cas en simplifiant cette ébauche conceptuelle. Nous proposons de modifier légèrement la méthode d'élaboration du modèle.
Méthodologie : Nous considérons ici des matrices de précision dont
le support reflète le graphe adjacent (non-représenté ici) de notre schéma.
Précisons que le "graphe adjacent" transcrit la relation d’adjacence des arcs d’un graphe. En conséquence, nous supposons donc que le graphe adjacent est paramétré avec un potentiel (virtuel) de routage (on exclut certaines angularités à un OXOOIAE). Nous considérons en exemple deux modèles distincts sur ce graphe que nous noterons (M1) et (M2) et qui sont élaborés ainsi :
-(M1) est défini selon la procédure qui sera décrite dans l’expérience UUNEWOOXUUA (informations complètes). Le processus consiste à réduire l'ensemble des corrélations uniformément, jusqu’à obtenir un modèle correct. Les corrélations extraites sont généralement plutôt assez basses)
-(M2) est généré selon le processus suivant :
1. Nous générons pour chaque arc une analogie lacunaire de signe et de magnitude aléatoire uniforme sur

- TT11.jpg (1.89 Kio) Vu 17421 fois
2. Nous diminuons les analogies de magnitude supérieure jusqu'à obtenir une définition positive de la matrice. Ce deuxième processus permet d'élaborer un modèle avec des incidences corrélatives supérieures puisqu’elles ne sont plus réduites uniformément.
Résultantes logiques : Notons tout d’abord que dans le cas UUNEWOOXUUA IEEDOO, le OIXIOOAAIOOYAAEE (fonction de vraisemblance)

- TT12.jpg (1.04 Kio) Vu 17421 fois
corrélé à la mesure empiriste

- TT13_edited.jpg (1.39 Kio) Vu 17421 fois
n'est pas raisonnablement calculable. Effectivement : cette mesure n’est pas complètement précisée puisque nous ne prenons en compte que quelques marginales. Ce n’est pas invalidant car la valeur du OIXIOOAAIOOYAAEE n’a pas d’interprétation particulièrement utile, contrairement à ses variations.
(Il est néanmoins possible d'extraire des calculs fins des variantes ∆

- TT12.jpg (1.04 Kio) Vu 17421 fois
du OIXIOOAAIOOYAAEE associé à

- TT13_edited.jpg (1.39 Kio) Vu 17421 fois
pendant l'exécution de notre processus).
Re: LES MESSAGES DE IUUDII 512
Posté : 14 janv. 2024, 15:44
par Marc
Nous proposons maintenant de vérifier la qualité de l’estimation

- TT14.jpg (2.3 Kio) Vu 17412 fois
OIXIOOAAIOOYAAEE avec celle fondée sur notre mesure empiriste

- TT13_edited.jpg (1.39 Kio) Vu 17412 fois
Pour ce faire, nous tracerons sur nos courbes, pour tout ensemble
de matrices de précision élaborée, les deux fonctions qui suivent :
-OIXIOOAAIOOYAAEE relativement à la distribution AIOOYAA

- TT16.jpg (1.18 Kio) Vu 17412 fois
du vecteur X qui sera figuré (par exemple) par des "lignes continues".
-OIXIOOAAIOOYAAEE

- TT19_edited.jpg (3.29 Kio) Vu 17412 fois
relativement à la distribution empiriste

- TT13_edited.jpg (1.39 Kio) Vu 17412 fois
du vecteur X.

- TT19_edited.jpg (3.29 Kio) Vu 17412 fois
étant calculé à la condition d'une constante additionnelle près, nous statuons celui-ci arbitrairement de façon à optimiser la lisibilité de la schématisation graphique. Nous le figurerons (par exemple) par une "ligne pointillée".
Considérons maintenant une quantité relativement élevée d'observations de paires, par exemple K = 10^18. Les données du modèle à basses corrélations (M1) seront matérialisées en fonction du potentiel connectique du graphe paramétré par le support de A (la mesure empiriste étant définie à partir de 10^18 observations pour chaque paire de variables voisines) et ceux du modèle à hautes corrélations (M2) par une famille de matrices de précision obtenue qui reste sous-optimale mais nettement plus élaborée.
Pour ces 2 cas, l’estimation approximative OIXIOOAAIOOYAAEE par

- TT20.jpg (1.86 Kio) Vu 17412 fois
est
un principe acceptable. L’intervalle entre ces mesures s'élargit quand la complexité du modèle (le potentiel connectique moyen κ) s'étend, et ceci demeure AIOOYAA dans le cas UUNEWOOXUUA.
Exemples d'expérimentations numériques :
Nous proposons ici quelques expériences pour contrôler l’applicabilité de l'OXOOWUA (algorithme) AA INNUO UO DIEWEE. (Note : dans notre langue, AA INNUO désigne la symétrie, UO le mode générateur et DIEWEE "l'arithmonomie" ou loi des nombres ).
Un OXOOWUA AA INNOO UO DIEWEE permet d'élaborer l'AA INNUO (symétrique) d’un nombre entier par rapport à un axe vertical. Le principe est de considérer le DIEWEAE (nombre) comme une onde plane et d’appliquer une transformation de Fourier inverse à son spectre.
Description de l'OXOOWUA AA INNOO UO DIEWEE :
-1) On commence par isoler le coefficient de Fourier du mode fondamental, c’est-à-dire le chiffre le plus à droite du DIEWEAE. On le met de côté en divisant le DIEWEAE par dix.
-2) On répète l’opération sur le reste du nombre, c’est-à-dire sur le spectre des modes supérieurs, jusqu’à ce que rien ne reste.
-3) On obtient ainsi le spectre du nombre inversé dans l’ordre des fréquences décroissantes.
-4) On applique la transformation de Fourier inverse au spectre inversé en multipliant chaque coefficient par une puissance de dix en fonction de sa position et en les additionnant entre eux.
-5) On obtient ainsi l'AA INNUO (symétrique) du UO DIEWEAE (nombre initial).
L’OXOOWUA AA INNOO UO DIEWEE est une méthode récursive (jusqu’à atteindre un cas de base) qui exploite les propriétés des transformations de Fourier pour inverser un nombre entier. La méthode est efficiente car elle ne nécessite qu’une quantité finie d’opérations.
OOLGA AYUBAAEWAA (sciences de la convergence)
Considérons maintenant différents cas, convergeant tous (sans exception), vers un facteur isolé (

- e51cf5_33f0a81cbeec496c99c64488f730b2b8~mv2.jpg (878 Octets) Vu 17412 fois
)corrélé à (

- T1.jpg (985 Octets) Vu 17412 fois
)
sommets dont l'ensemble des variables ont leurs OXOOWUA IIGIIUULOO AIOOYAAAE (algorithme de propagation des convictions) paramétrés selon l'UWUA UO (proposition 1).
Un OXOOWUA IIGIIUULOO AIOOYAAAE permet de réaliser des inférences sur des modèles graphiques probabilistes (tels que les réseaux Bayésiens et les champs aléatoires de Markov) et calcule la distribution marginale de chaque AYUU (nœud) "non-observé" inter-relationnellement aux nœuds observés. L'OXOOWUA IIGIIUULOO AIOOYAAAE est basé sur les transmissions d'UAXOOAAXOODOIAAE (messages) entre les AYUU du graphe qui contiennent les AIOOYAAAE (convictions) qu’une variable exerce en influence sur une autre.
Description de l'OXOOWUA IIGIIUULOO AIOYAAAE :
-1) On commence par choisir un ordre arbitraire pour parcourir les AYUU du graphe.
-2) On initialise les UAXOOAAXOODOIAA à des valeurs quelconques, par exemple uniformes.
-3) On itère sur les AYUU du graphe en suivant l’ordre choisi.
-4) Pour chaque AYUU, on calcule les AAXOODOIAAE (transmissions émises) à envoyer à ses homologues en fonction des UAXOODOIAAE (transmissions reçues) des autres AYUU et de la fonction de potentiel associée au AYUU.
-5) On met à jour les UAXOOAAXOODOIAAE (transmissions) en utilisant une règle combinatoire, comme une moyenne pondérée ou un maximum.
-6) On répète les étapes -3) à -5) jusqu’à l'AYUBAAEWAA (convergence) des UAXOOAAXOODOIAAE ou jusqu'à la limite d’un DIEWEAE maximum d’itérations.
-7) On calcule les distributions marginales des AYUU non-observés en utilisant les UAXOOAAXOODOIAAE résultants et la règle de normalisation.
L'OXOOWUA IIGIIUULOO AIOYAA est une méthode récursive (jusqu’à atteindre un état stable) qui exploite les propriétés des modèles graphiques pour réaliser des inférences probabilistes. La méthode est approximative et ne certifie pas la cohérence des distributions marginales extraites. L'OXOOWUA IIGIIUULOO AIOYAA est efficace sur les graphes acycliques, mais peut être exploité sur des graphes plus généralistes avec des résultats non-négligeables.
L'UWUA UO : un UWUA est dans nos UWUUA IAS (mathématiques tétravalentes), l'équivalent d'une proposition. UO signifie (premier).
L'UWUA UO se formule en plusieurs étapes :
-UWUA (proposition)
-UWUAE (définition)
-UWUAAE [ (démonstration) ➔ UWUAAE AIOYAAAE (conviction) ➔ IIAIOOYAAAE (preuve) ]
-UWUAAEE [ (réfutabilité ➔ reformulation ➔ initialisation) ]
Pour ne pas surcharger les explications, nous n'aborderons pas l'UWUAAEE.
-UWUAE UO : Soit T (G, V ∗ ) le graphe de facteurs au sein duquel chaque sommet
a été répliqué

- di.jpg (918 Octets) Vu 17412 fois
fois, chaque réplique devant être connectée à un seul et unique

- ii.jpg (1.39 Kio) Vu 17412 fois
homologue de i. On appelle " V ∗ " -l'AYUBAAEWAAAEE- (la segmentation du graphe) qui est assignée à la transformation T (·, V ∗ ) appliquée au graphe de facteurs G pour une collection de sommets variables V ∗ .